Curiosii for ever!
: Car repair manuals for everyone.
Home
>>
Chevrolet
>>
2013
>>
Malibu L4-2.4L Hybrid
>>
Repair and Diagnosis
>>
Powertrain Management
>>
Computers and Control Systems
>>
Specifications
>>
Electrical Specifications
>>
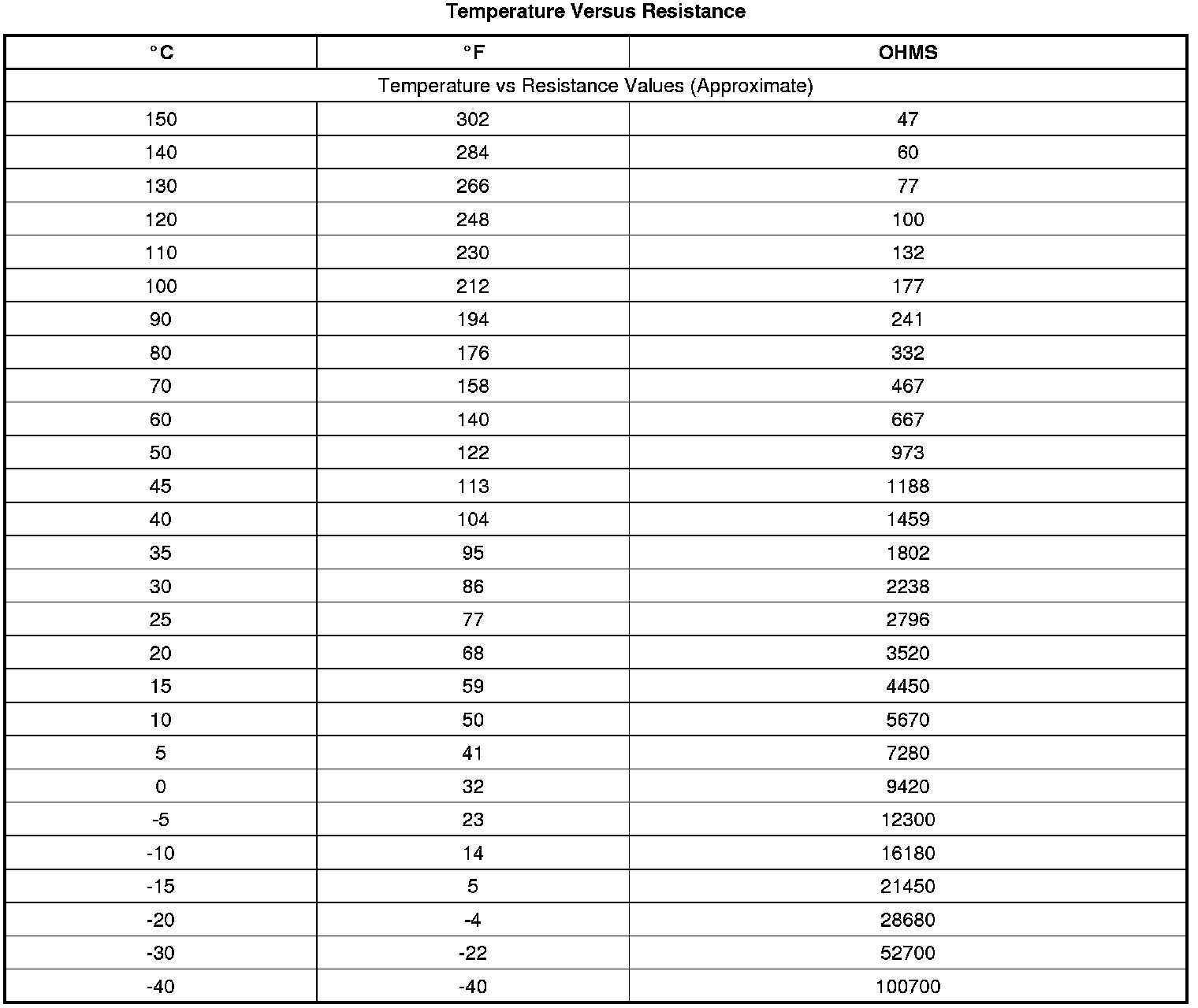
Temperature Versus Resistance
Temperature Versus Resistance
Temperature Versus Resistance