Curiosii for ever!
: Car repair manuals for everyone.
Home
>>
Chevrolet
>>
2013
>>
Malibu L4-2.4L Hybrid
>>
Repair and Diagnosis
>>
Hybrid Drive Systems
>>
Power Control System
>>
Specifications
Power Control System: Specifications
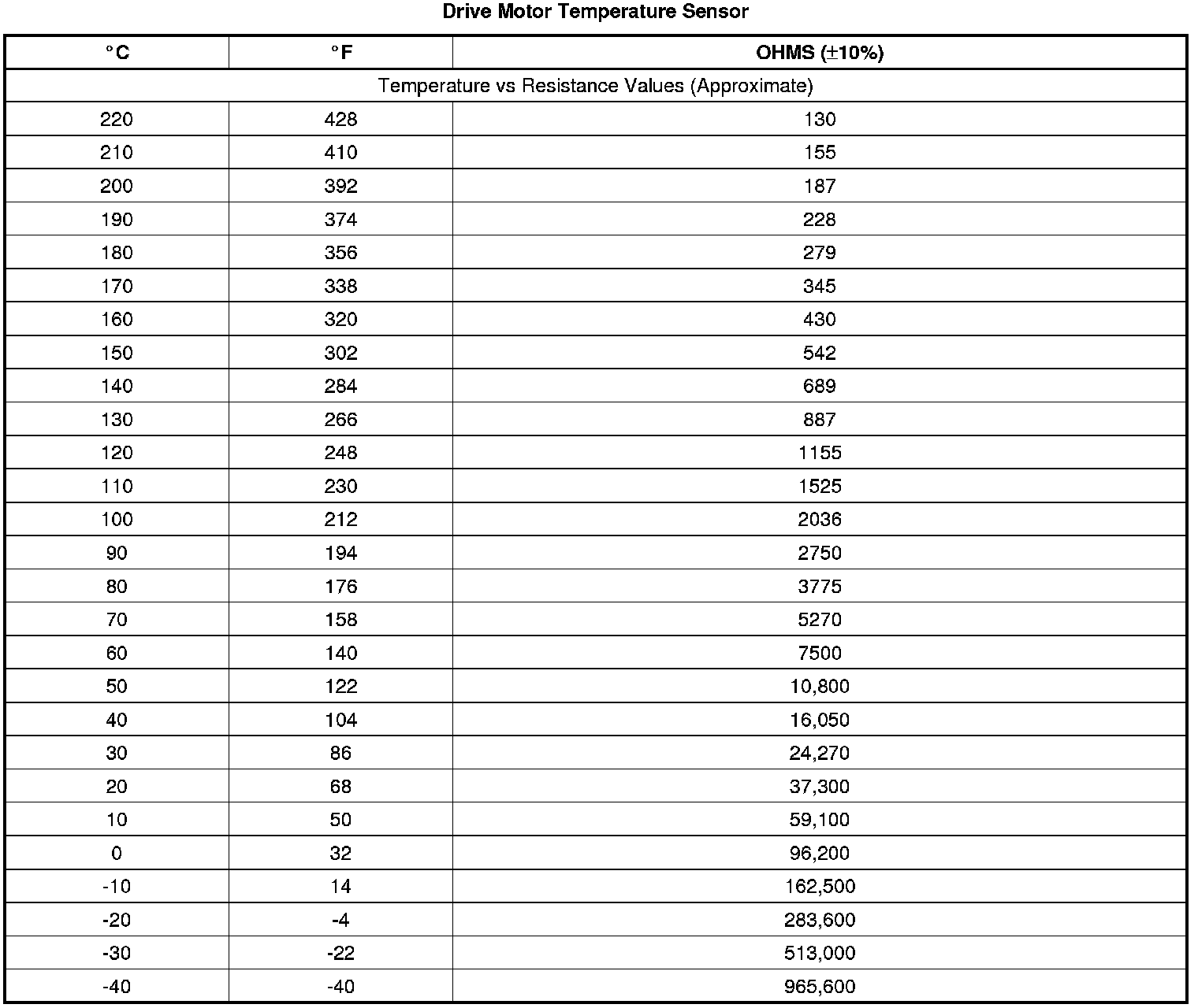
Temperature Versus Resistance