Curiosii for ever!
: Car repair manuals for everyone.
Home
>>
Chevrolet
>>
2010
>>
Cobalt L4-2.0L Turbo
>>
Repair and Diagnosis
>>
Specifications
>>
Electrical Specifications
>>
Computers and Control Systems
>>
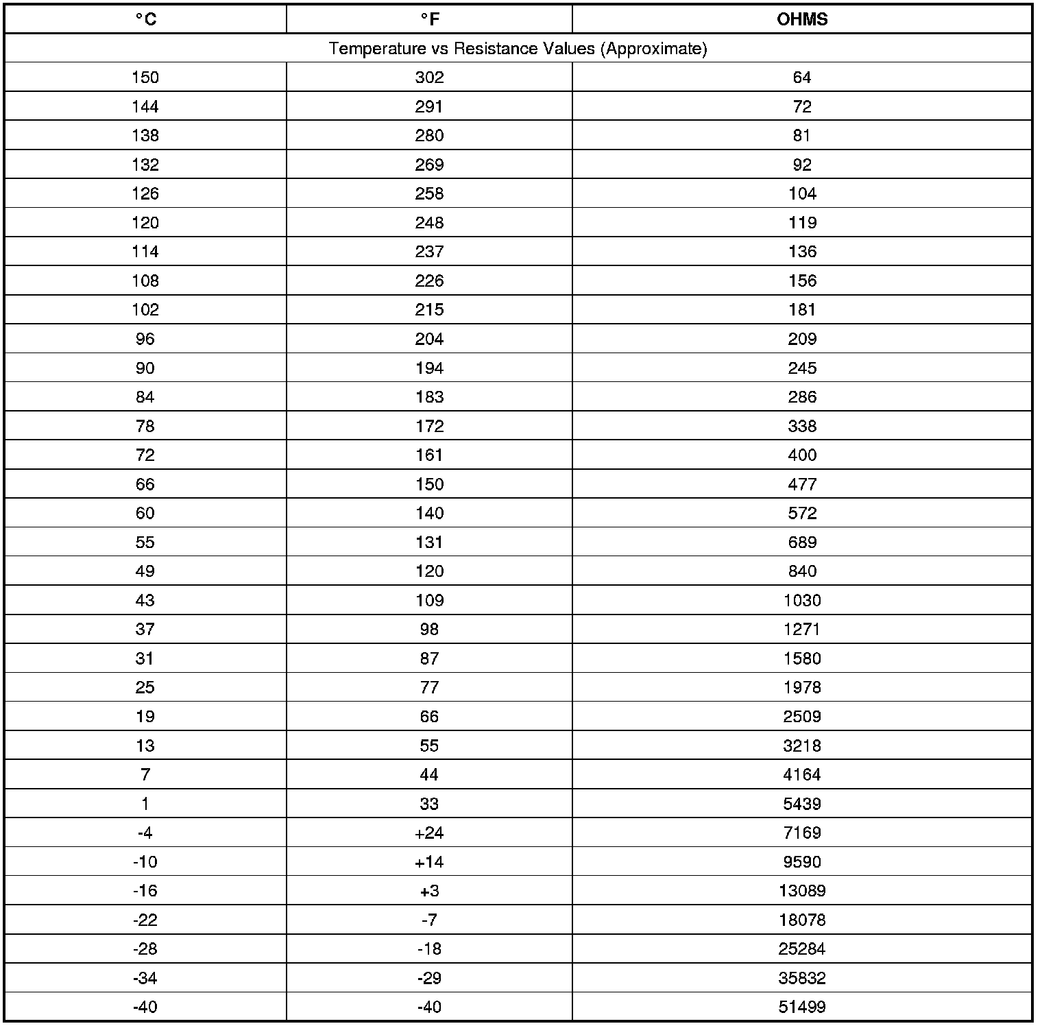
Temperature Versus Resistance (IAT 1)
Temperature Versus Resistance (IAT 1)
Temperature Versus Resistance (IAT 1)