Curiosii for ever!
: Car repair manuals for everyone.
Home
>>
Chevrolet
>>
2008
>>
Malibu Classic V6-3.5L
>>
Repair and Diagnosis
>>
Powertrain Management
>>
Computers and Control Systems
>>
Specifications
>>
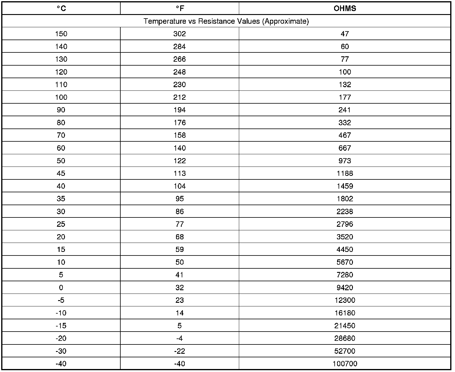
Temperature Versus Resistance
Temperature Versus Resistance
Temperature Versus Resistance