Curiosii for ever!
: Car repair manuals for everyone.
Home
>>
Chevrolet
>>
2008
>>
Malibu Classic V6-3.5L
>>
Repair and Diagnosis
>>
Powertrain Management
>>
Computers and Control Systems
>>
Relays and Modules - Computers and Control Systems
>>
Engine Control Module
>>
Diagrams
>>
Diagnostic Aids
>>
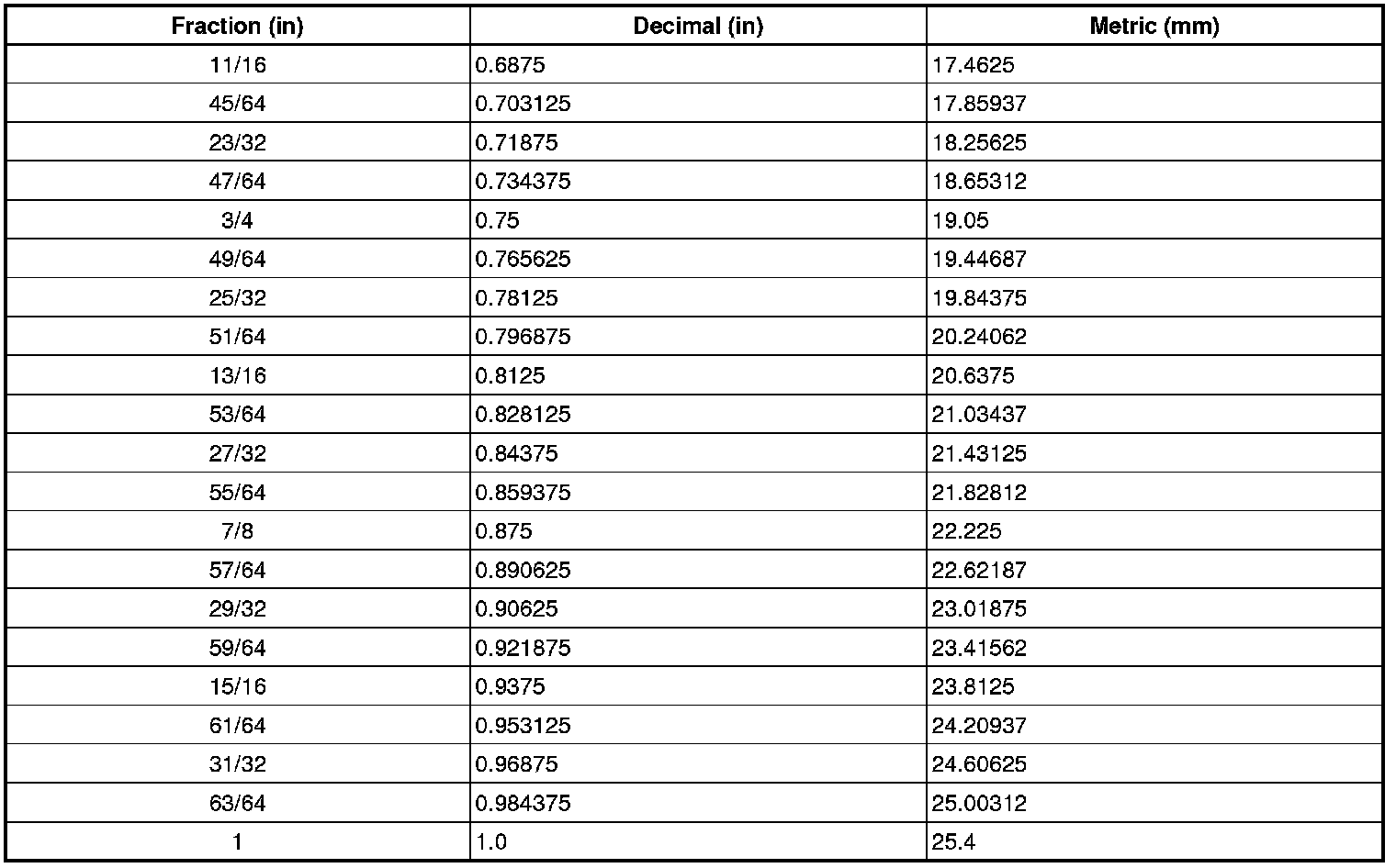
Decimal and Metric Equivalents
Decimal and Metric Equivalents
Decimal and Metric Equivalents