Curiosii for ever!
: Car repair manuals for everyone.
Home
>>
Chevrolet
>>
2005
>>
Impala V6-3.4L VIN E
>>
Repair and Diagnosis
>>
Specifications
>>
Mechanical Specifications
>>
Body and Frame
>>
Bumper
Bumper
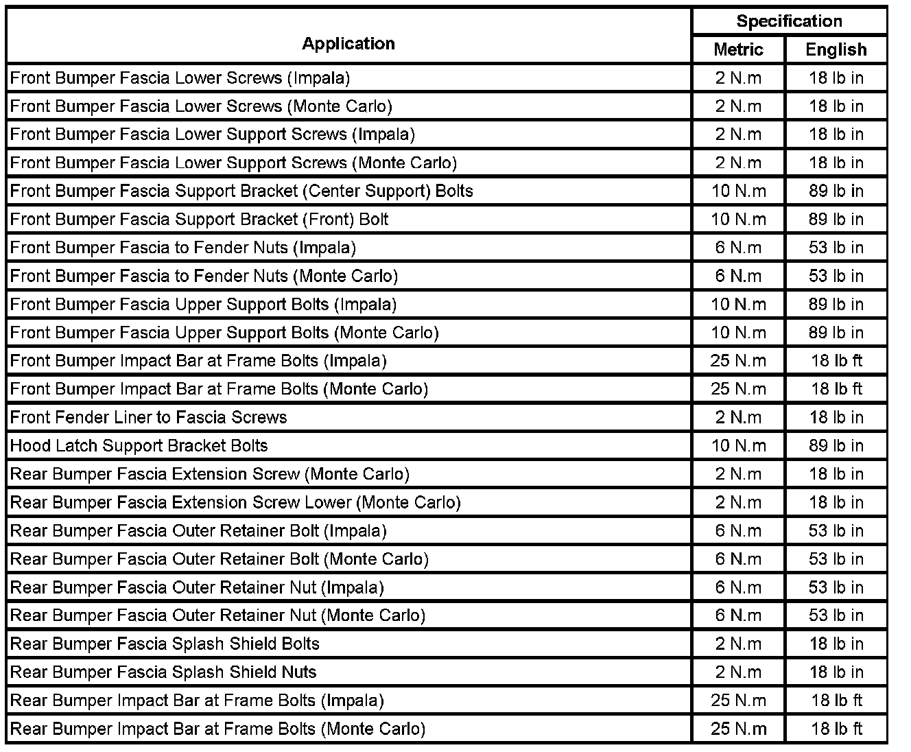
Fastener Tightening Specifications