Curiosii for ever!
: Car repair manuals for everyone.
Home
>>
Chevrolet
>>
2004
>>
Corvette V8-5.7L VIN S
>>
Repair and Diagnosis
>>
Specifications
>>
Mechanical Specifications
>>
Differential Assembly
>>
System Specifications
>>
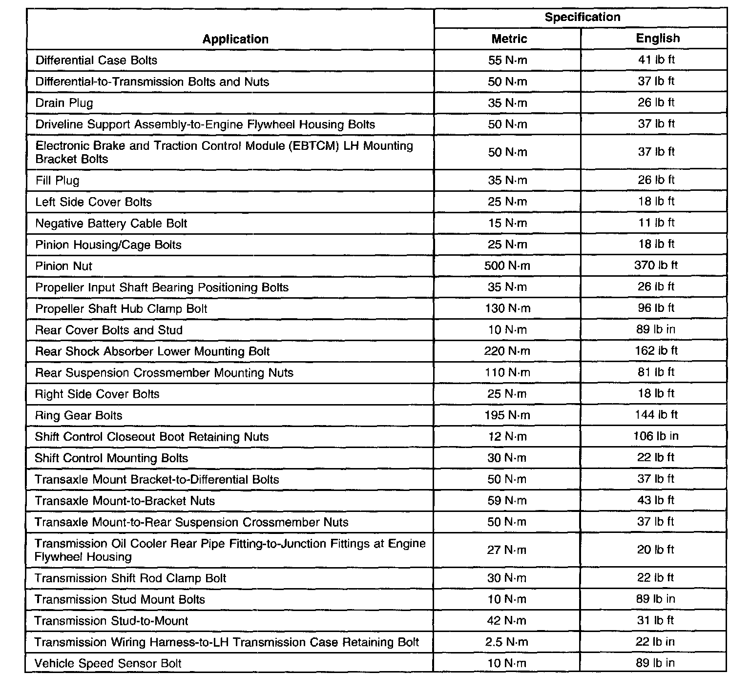
Fastener Tightening Specifications
Fastener Tightening Specifications
Fastener Tightening Specifications