Curiosii for ever!
: Car repair manuals for everyone.
Home
>>
Chevrolet
>>
1998
>>
Corvette V8-5.7L VIN G
>>
Repair and Diagnosis
>>
Specifications
>>
Mechanical Specifications
>>
Engine
>>
System Specifications
>>
Thread Repair Specifications
>>
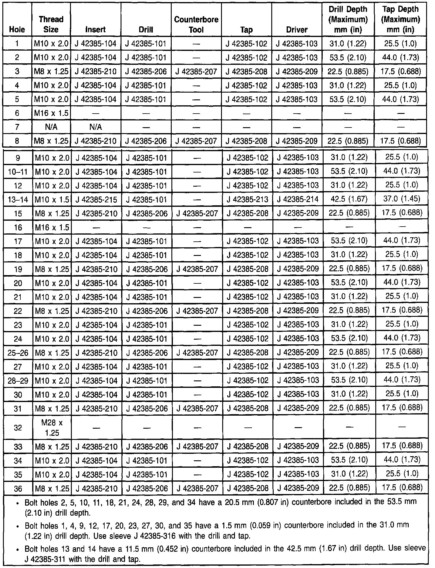
Engine Block - Bottom View
Engine Block - Bottom View
Engine Block - Bottom View, Part 1 Of 2:
Engine Block - Bottom View, Part 2 Of 2: