Curiosii for ever!: Car repair manuals for everyone.

Positive Back Pressure

EGR Diagnostic Chart - 1 of 2:




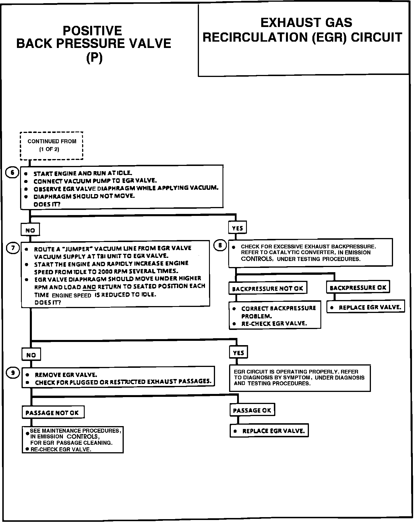
EGR Circuit (2 of 2):




Wiring Diagram for EGR Circuit:





*** UPDATED BY TSB #91-27-6E & #91-6-1 DATE: 6/90

CIRCUIT DESCRIPTION:

The ECM operates a vacuum solenoid to control the EGR valve. The solenoid is energized and de-energized by the ECM. The ECM provides a ground path to energize the solenoid. This allows vacuum to flow to the EGR valve. Once the ECM has grounded the EGR circuit, the ECM will monitor engine operating conditions to determine if exhaust gas flow has entered the intake manifold. The ECM controls the operation of the EGR valve based on various engine sensor input.


TEST DESCRIPTION: The numbers below refer to circled numbers on the diagnostic chart.

1. Intake Passage: Shut "OFF" the engine and remove the EGR valve from the manifold. Plug the exhaust side hole with a shop towel or suitable stopper. Leaving the intake hole open, attempt to start the engine. If the engine runs at a very high idle speed (up to 3000 rpm is possible) or starts and stalls, the EGR passages are not restricted. If the engine starts and idles normal, the EGR intake side passage, in the intake manifold, is restricted.
Exhaust Passage: With the EGR valve still removed, plug the intake side hole with the same stopper. With the exhaust side hole open, check for the presence of exhaust gas. If no exhaust gas is present, the EGR exhaust side passage, in the intake manifold, is restricted.
NOTE: Remove towel or stopper once test is complete.
2. Grounding the diagnostic test terminal should allow the EGR solenoid to energize, and vacuum should flow to the gauge. The vacuum at the gauge may or may not slowly bleed off.
3. When the diagnostic test terminal is not grounded, the vacuum gauge should bleed off through a vent in the EGR solenoid. The vacuum gauge may or may not bleed off, but this does not indicate a problem.
4. This test determines if the electrical control portion of the system is at fault, or if the EGR solenoid and/or connector is at fault.
5. See EMISSION CONTROLS, for "EGR IDENTIFICATION," under COMPONENT OPERATION, to assist in determining the type of EGR valve used.
6. The remaining tests check the ability of the EGR to interact with the exhaust system.
7. When the engine is started, exhaust back pressure, at the base of the EGR valve and vacuum present at the EGR valve, should allow the EGR valve to open. A rapid snap of the throttle should provide sufficient exhaust back pressure to the base of the EGR valve, which will close the internal vacuum bleed valve. The vacuum supply should lift the valve off its seat. (Pintle movement will be slight)
8. Excessive exhaust back pressure, caused by a bent or restricted exhaust component, could provide enough back pressure to the base of the EGR valve to close the EGR valve's internal vacuum bleed. If this happens, undesired EGR valve operation may take place at idle.
9. A Plugged EGR exhaust passage can stop exhaust back pressure from reaching the base of the EGR valve. If this takes place, the EGR valve's internal vacuum bleed may remain open, and prevent vacuum from operating the EGR valve.

NOTE: The EGR valve will not hold vacuum, from an external vacuum source, with the engine not running. Once the test sequence is completed, clear codes and verify NO "SERVICE ENGINE SOON" light exists.


DIAGNOSTIC AIDS:

1. Vacuum hoses should be thoroughly inspected for proper routing. See VACUUM AND VAPOR HOSE DIAGRAMS, under EMISSION CONTROLS, for proper hose routing.
2. Suction from shop exhaust hoses can alter engine back pressure, and may affect the functional test of the EGR valve.