Curiosii for ever!
: Car repair manuals for everyone.
Home
>>
Chevrolet
>>
1988
>>
Nova/Chevy II L4-1600cc DOHC
>>
Repair and Diagnosis
>>
Cruise Control
>>
Cruise Control Switch
>>
Testing and Inspection
>>
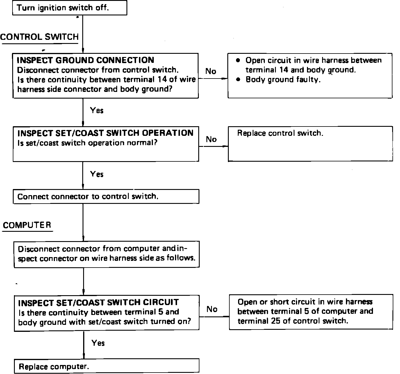
Chart B: Set/Coast Switch Circuit Inspection
Chart B: Set/Coast Switch Circuit Inspection
"B" Set/coast Switch Circuit Inspection: