Curiosii for ever!
: Car repair manuals for everyone.
Home
>>
Chevrolet
>>
1983
>>
Caprice V6-231 3.8L VIN A 2-bbl
>>
Repair and Diagnosis
>>
Starting and Charging
>>
Specifications
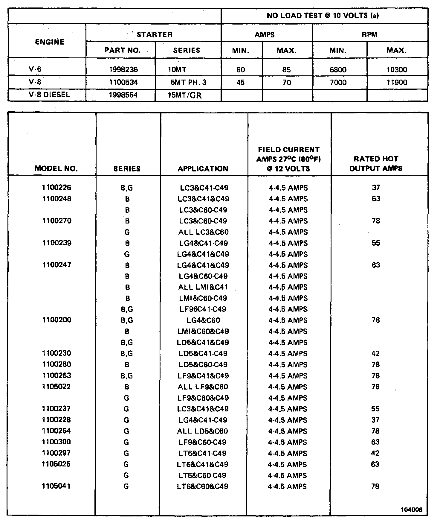
Starting and Charging: Specifications
BATTERY SPECIFICATIONS
STARTER &
ALTERNATOR
SPECIFICATIONS