Curiosii for ever!
: Car repair manuals for everyone.
Home
>>
Cadillac
>>
2006
>>
STS-V V8-4.4L SC VIN D
>>
Repair and Diagnosis
>>
Heating and Air Conditioning
>>
Testing and Inspection
>>
Scan Tool Testing and Procedures
>>
Scan Tool Data List
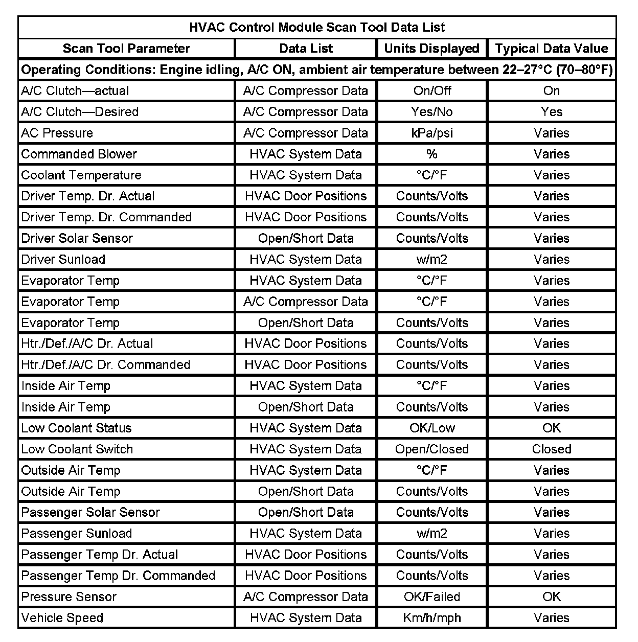
Scan Tool Data List
HVAC Control Module Scan Tool Data List:
ECM Scan Tool Data List: