Curiosii for ever!: Car repair manuals for everyone.

Scan Tool Normal Data Values



SCAN TOOL DATA LIST

Dash Integration Module (DIM) Part 1:




Dash Integration Module (DIM) Part 2:




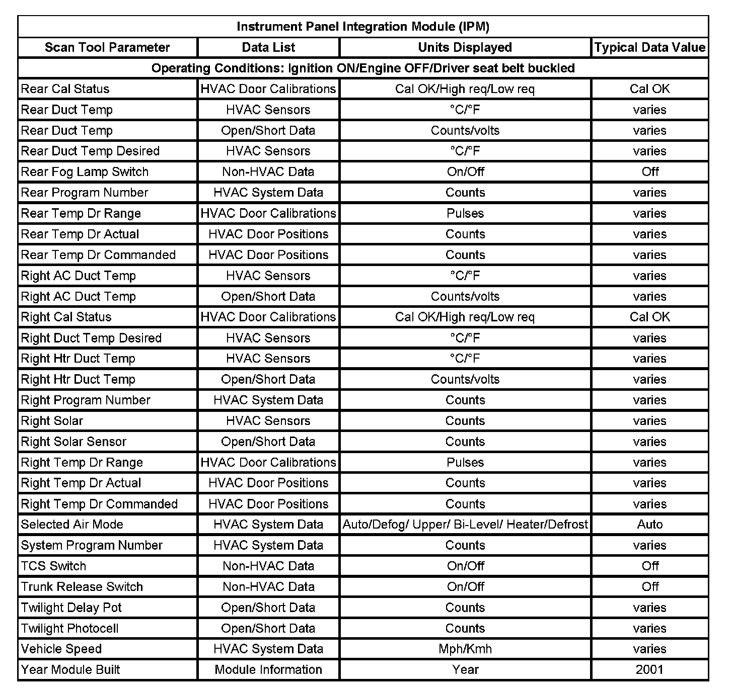
Instrument Panel Integration Module (IPM) Part 1:




Instrument Panel Integration Module (IPM) Part 2:




PCM Scan Tool Data List:




Rear Climate Control Panel Scan Tool Data List:




Use the Scan Tool Data Display Values and Definitions Information in order to assist in diagnosing the Instrument Panel Integration Module (IPM) problems. Compare the vehicles actual scan tool data with the typical data display value table information. Use the data information in order to aid in understanding the nature of the problem when the vehicle does not match with the typical data display values.

The scan tool data values were taken from a known good vehicle under the following conditions:
- The ignition switch is in the ON position.
- The engine is running at idle.
- The vehicle is in PARK.
- The doors are closed.
- The windows are closed.
- The A/C is ON.
- The ambient air temperatures are at 22-27°C (70-80°F).