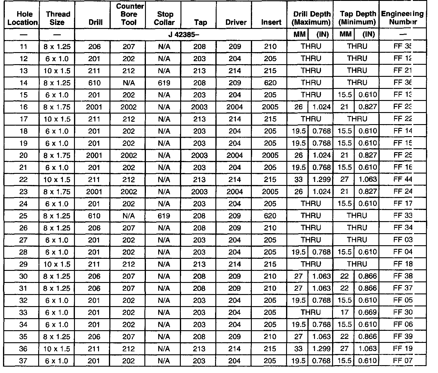
Thread Repair Specifications
THREAD REPAIR SPECIFICATIONSLeft Cylinder Head Camshaft Cover Face
Left Cylinder Head Camshaft Cover Face
Left Cylinder Head Front Face
Left Cylinder Head Front Face
Left Cylinder Head Intake Face
Left Cylinder Head Intake Face
Left Cylinder Head Exhaust Face
Left Cylinder Head Exhaust Face
Left Cylinder Head Rear Face
Left Cylinder Head Rear Face
Right Cylinder Head Camshaft Cover Face
Right Cylinder Head Camshaft Cover Face
Right Cylinder Head Front Face
Right Cylinder Head Front Face
Right Cylinder Head Intake Face
Right Cylinder Head Intake Face
Right Cylinder Head Exhaust Face
Right Cylinder Head Exhaust Face
Right Cylinder Head Rear Face
Right Cylinder Head Rear Face
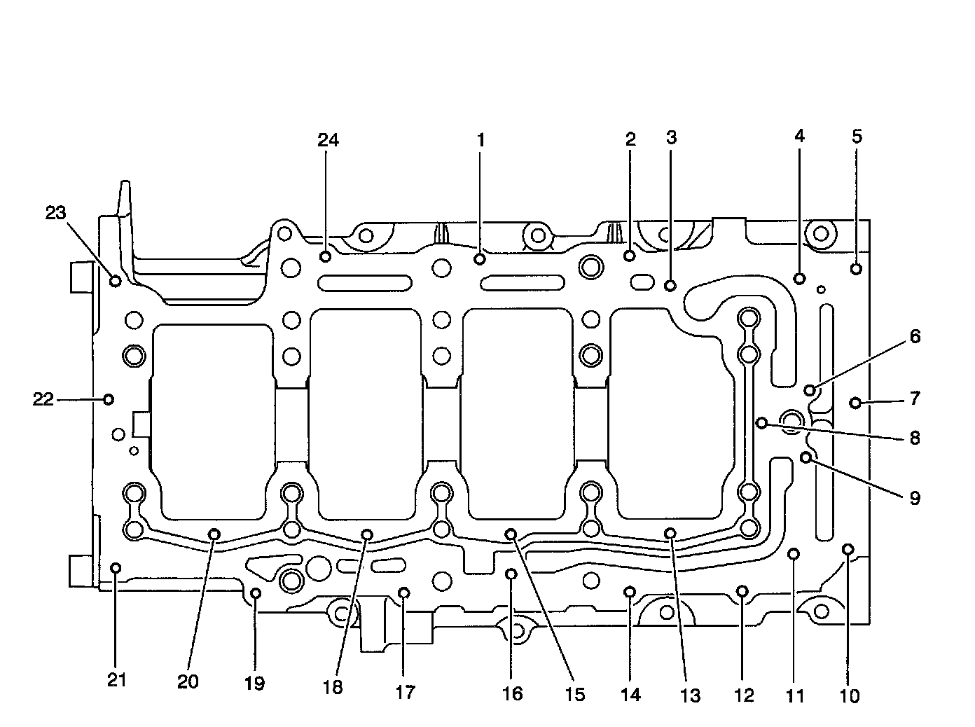
Engine Block Front
Engine Block Front
Engine Block Left Side
Engine Block Left Side
Engine Block Right Side
Engine Block Right Side
Engine Block Rear
Engine Block Rear
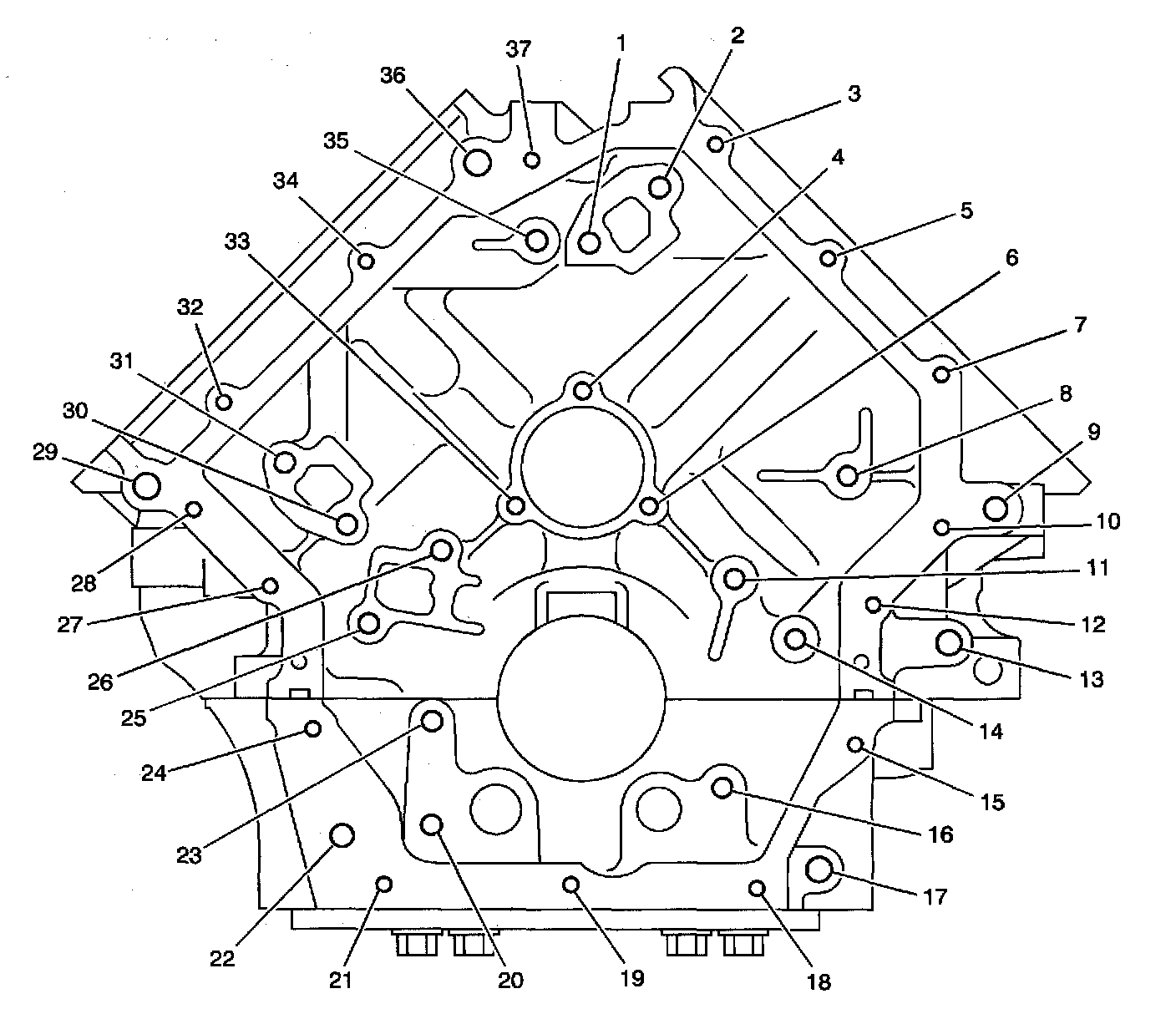
Engine Block Top
Engine Block Top
Engine Block Left Deck Face
Engine Block Left Deck Face
Engine Block Right Deck Face
Engine Block Right Deck Face
Engine Block Lower Face
Engine Block Lower Face
Lower Crankcase Pan Face
Lower Crankcase Pan Face