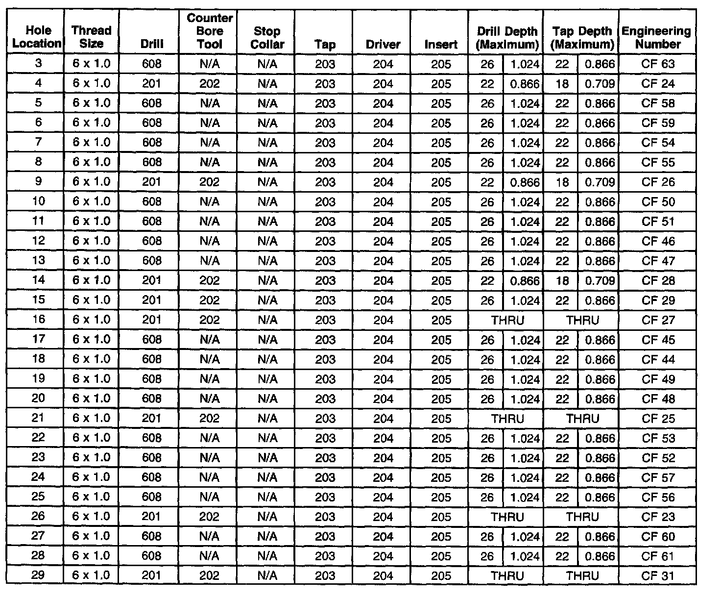
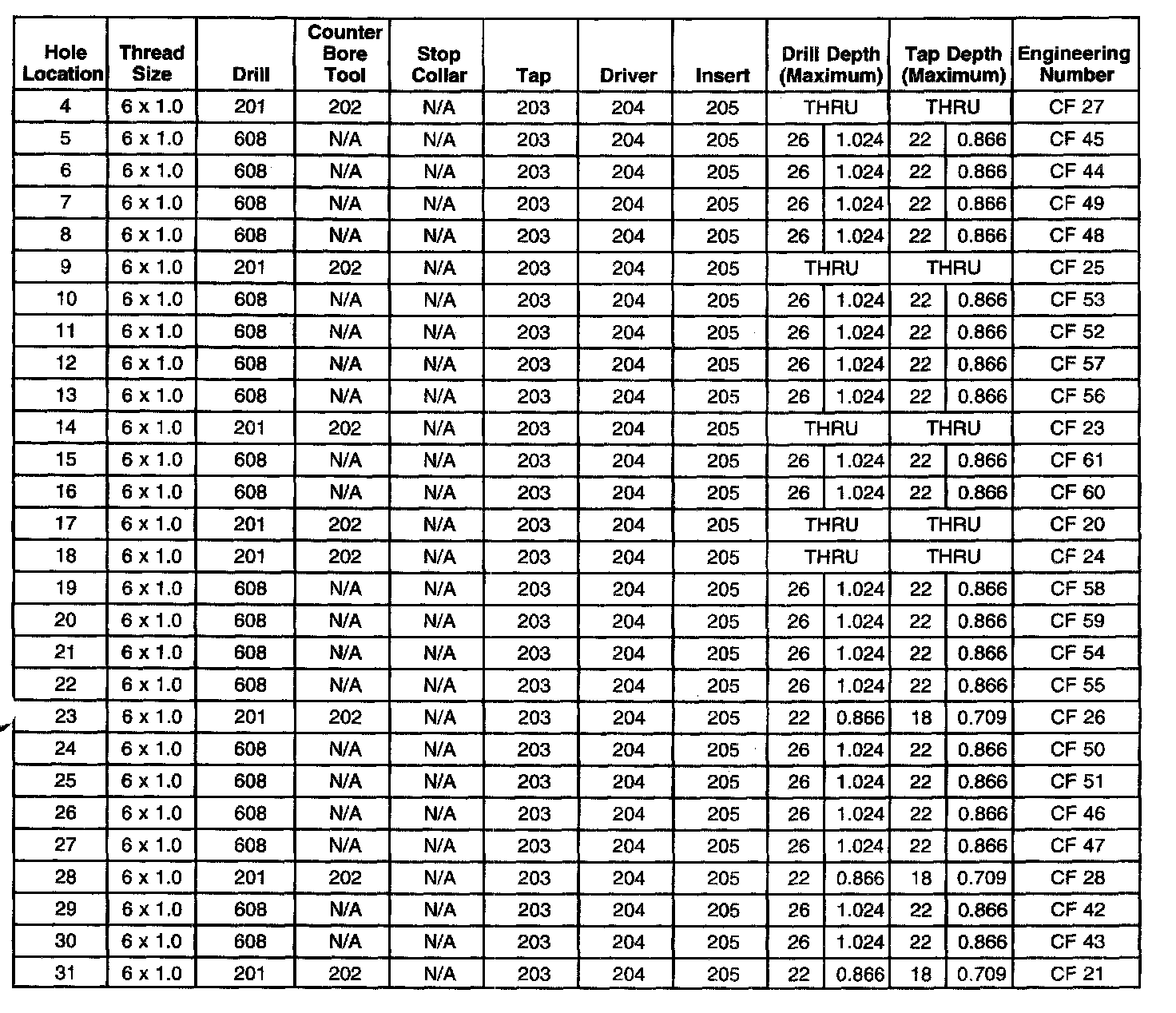
Thread Repair Specifications
Left Cylinder Head Cam CVR
Left Cylinder Head Front Face
Left Cylinder Head Intake Face
Left Cylinder Head Exhaust Face
Left Cylinder Head Rear Face
Right Cylinder Head Cam CVR
Right Cylinder Head Front Face
Right Cylinder Head Intake Face
Right Cylinder Head Exhaust Face
Right Cylinder Head Rear Face
Engine Block Front
Engine Block Rear
Engine Block Left Side
Engine Block Right Side
Engine Block Top Face
Engine Block Lower
Engine Block Left Deck
Engine Block Right Deck
Lower Crankcase Pan