Curiosii for ever!
: Car repair manuals for everyone.
Home
>>
Cadillac
>>
2000
>>
Catera V6-3.0L VIN R
>>
Repair and Diagnosis
>>
Specifications
>>
Electrical Specifications
>>
Automatic Transmission/Transaxle
>>
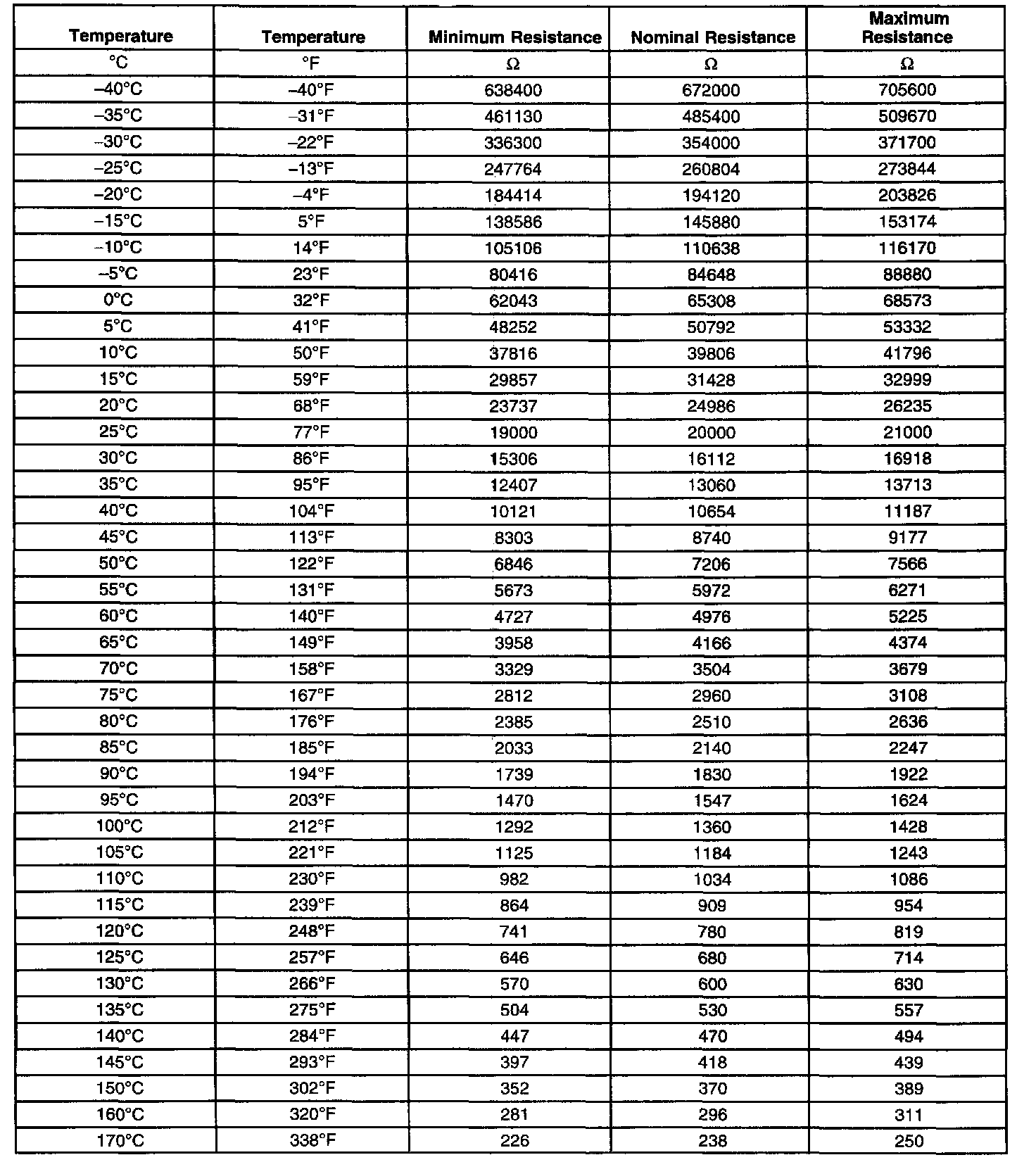
Transmission Fluid Temperature (TFT) Sensor Specifications
Transmission Fluid Temperature (TFT) Sensor Specifications