Curiosii for ever!: Car repair manuals for everyone.

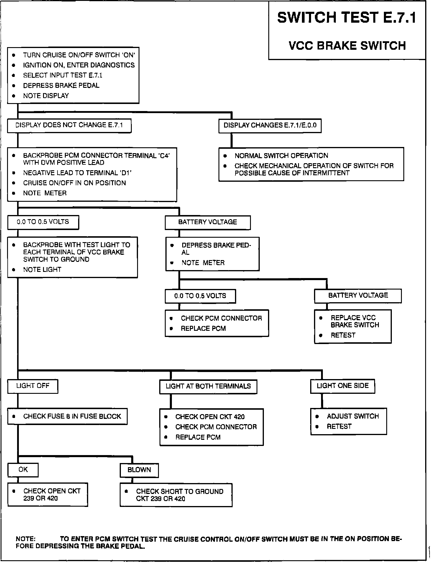
Input E.7.1 - VCC Brake Switch

Diagnostic Chart.:




PCM Wiring Diagram:






DISPLAY CONFIGURATION:

After .7.0 is displayed on the Fuel Data Center (FDC), the PCM/ECM switch test can be initiated by depressing the brake pedal when the brake pedal has been depressed the FDC will display E.7.0. AT this time the HI and LO buttons on the Electronic Climate Control (ECC) panel can be used to select the specific switch test. When a specific test has been selected and that switch activated, the display will alternately display the code for that test and E.0.0 to confirm the switch is working.

TEST DESCRIPTION:

This test detects the open and close of the Viscous Converter Clutch (VCC) brake switch at terminal C4 of the PCM/ECM.