Curiosii for ever!: Car repair manuals for everyone.

Input E.7.0 - Cruise Control Brake Circuit

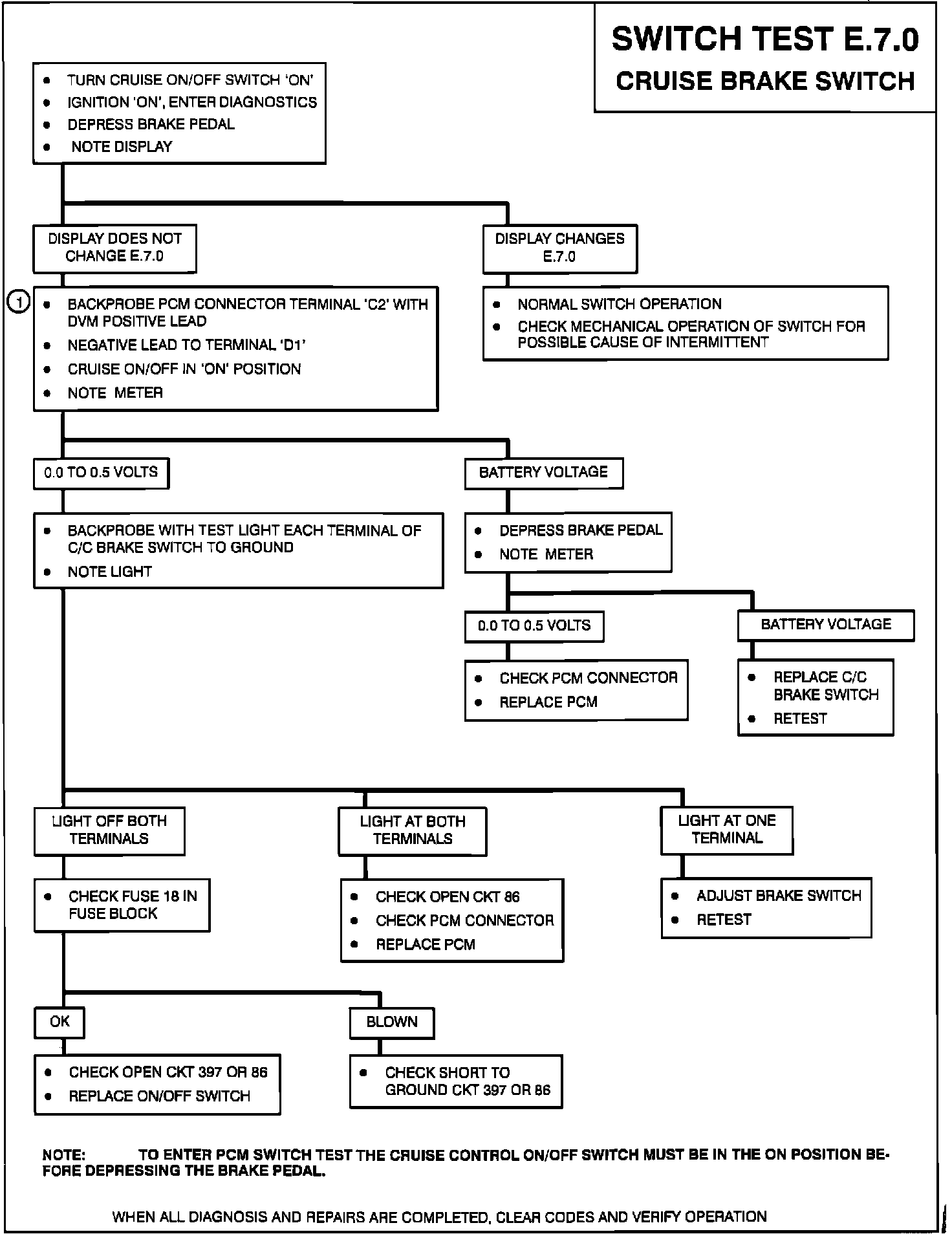
Diagnostic Chart.:




Pictorial View:






DISPLAY CONFIGURATION:

Before entering diagnostics the cruise control ON/OFF switch must be in the on position. After .7.0 is displayed on the Fuel Data Center (FDC), the PCM/ECM switch test can be initiated by depressing the brake pedal when the brake pedal has been depressed the FDC will display E.7.0. AT this time the HI and LO buttons on the Electronic Climate Control (ECC) panel can be used to select the specific switch test. When a specific test has been selected and that switch activated, the display will alternately display the code for that test and E.0.0 to confirm the switch is working.

TEST DESCRIPTION:

This test detects the open and close of the cruise control brake switch at terminal C2 of the PCM/ECM.