Curiosii for ever!: Car repair manuals for everyone.

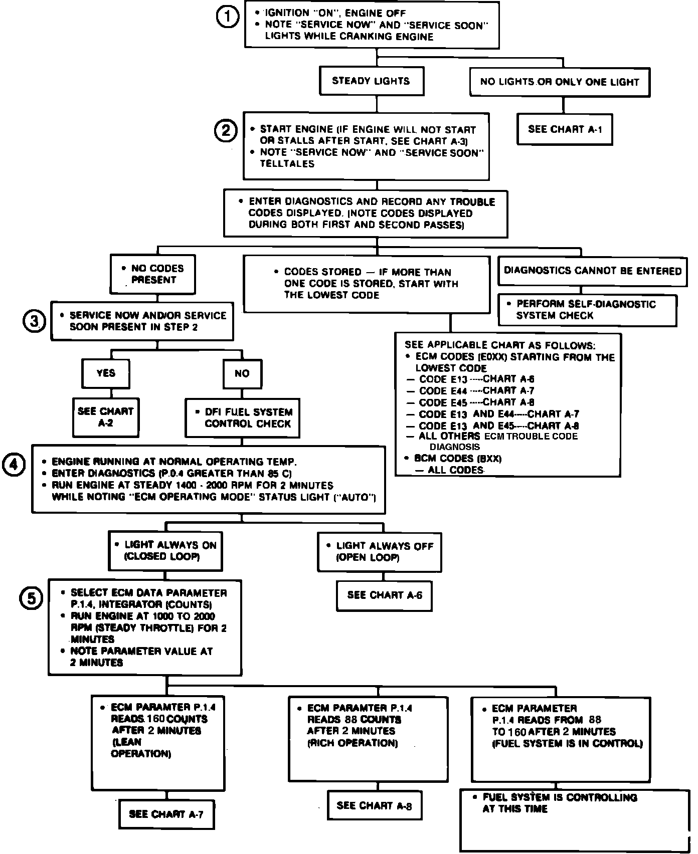
System Check - DFI/PFI System




The DFI System Check is an organized approach for identifying a problem caused by the Digital Fuel Injection System. Driver comments normally fall into one of the following areas:
1. Steady "Service Now" or "Service Soon" light.
2. Driveability problem.
3. Engine will not start or stalls after start.

The DFI system has ECM Parameter P.1.4 "Integrator" which monitors the oxygen sensor rich/lean status and drives the fuel system richer if the oxygen sensor is lean and leaner if the sensor is rich.

The integrator has a range of 60 counts to 160 counts. The integrator value will be 128 when the ECM does not have to modify the fuel rate to the engine. The integrator will reset to 128 if the fuel system is in acceleration, power enrichment, some deceleration or open loop modes. Integrator "resets" to 128 when oxygen sensor is not in control of fuel.

If the integrator sees an oxygen sensor that is lean most of the time, the integrator value will go higher to try and add more fuel to the engine. If the integrator sees an oxygen sensor that is rich most of the time, the integrator value will go lower to try and drive the fuel system leaner.

In this test, operate the engine at closed loop, 1000 - 2000 RPM with STEADY THROTTLE to stabilize the integrator value, then check for an integrator reading of 88 - 160. In most cases, this will indicate that the fuel delivery system is OK.


DEFI System Check:






Understanding the chart and using it correctly will reduce diagnosis time and prevent the unnecessary replacement of parts. Refer to the numbers below corresponding to the numbers on the chart.

1. The ECM grounds the telltales when cranking. If the telltales come on when cranking, then the ECM is getting power and ground.
2. If the "Service Now" and/or "Service Soon" lights are on with engine running, check for ECM codes. Diagnose the codes before proceeding with the "System Check".
3. After codes are corrected, the ability of the DFI system to control the fuel delivery to the engine must be checked.
4. Checking for proper closed/open loop operation.
5. If closed loop is achieved, the fuel system has to be checked for rich, lean or proper fuel control.