Curiosii for ever!
: Car repair manuals for everyone.
Home
>>
Cadillac Truck
>>
2010
>>
SRX AWD V6-2.8L Turbo
>>
Repair and Diagnosis
>>
Powertrain Management
>>
Computers and Control Systems
>>
Relays and Modules - Computers and Control Systems
>>
Body Control Module
>>
Diagrams
>>
Diagnostic Aids
>>
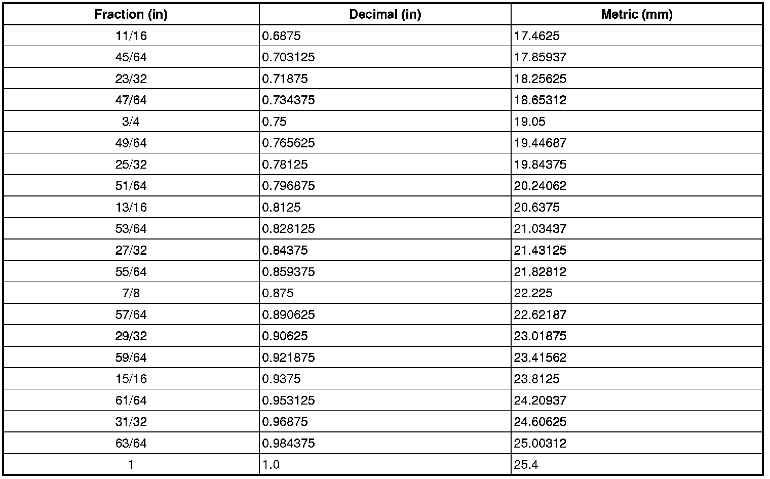
Decimal and Metric Equivalents
Decimal and Metric Equivalents
Decimal and Metric Equivalents