Curiosii for ever!
: Car repair manuals for everyone.
Home
>>
Cadillac Truck
>>
2009
>>
SRX AWD V8-4.6L
>>
Repair and Diagnosis
>>
Specifications
>>
Electrical Specifications
>>
Computers and Control Systems
>>
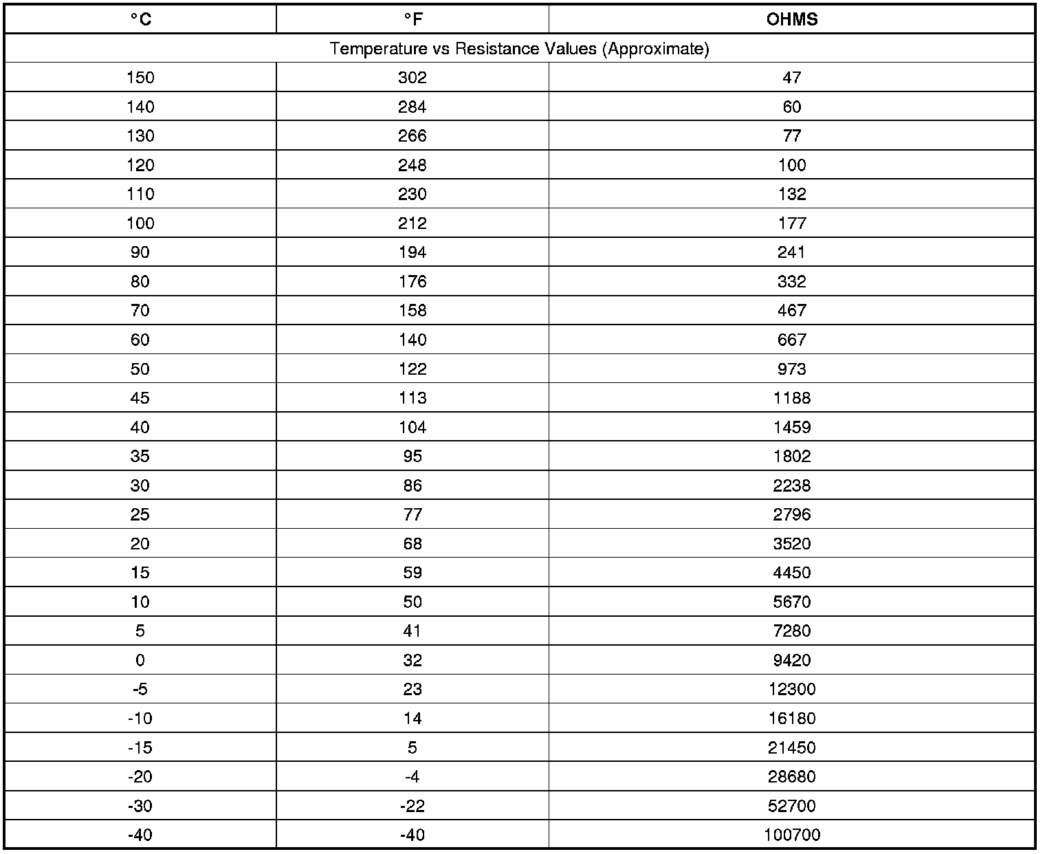
Temperature Versus Resistance
Temperature Versus Resistance
Temperature Versus Resistance