Curiosii for ever!
: Car repair manuals for everyone.
Home
>>
Cadillac Truck
>>
2007
>>
SRX AWD V8-4.6L
>>
Repair and Diagnosis
>>
Specifications
>>
Electrical Specifications
>>
Automatic Transmission/Transaxle
>>
Transmission Temperature Sensor/Switch, A/T
Transmission Temperature Sensor/Switch, A/T
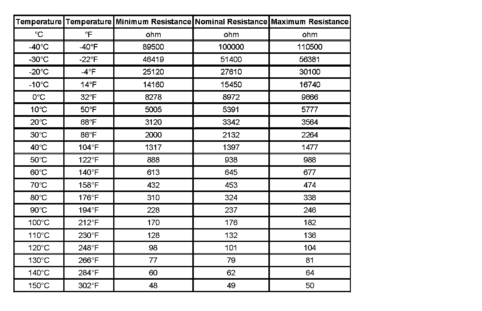
Transmission Fluid Temperature Sensor Specifications
Transmission Fluid Temperature Sensor Specifications: