Curiosii for ever!
: Car repair manuals for everyone.
Home
>>
Buick
>>
2006
>>
Lucerne V8-4.6L VIN Y
>>
Repair and Diagnosis
>>
Heating and Air Conditioning
>>
Testing and Inspection
>>
Scan Tool Testing and Procedures
>>
Scan Tool Testing - HVAC System - Automatic
>>
Scan Tool Data List
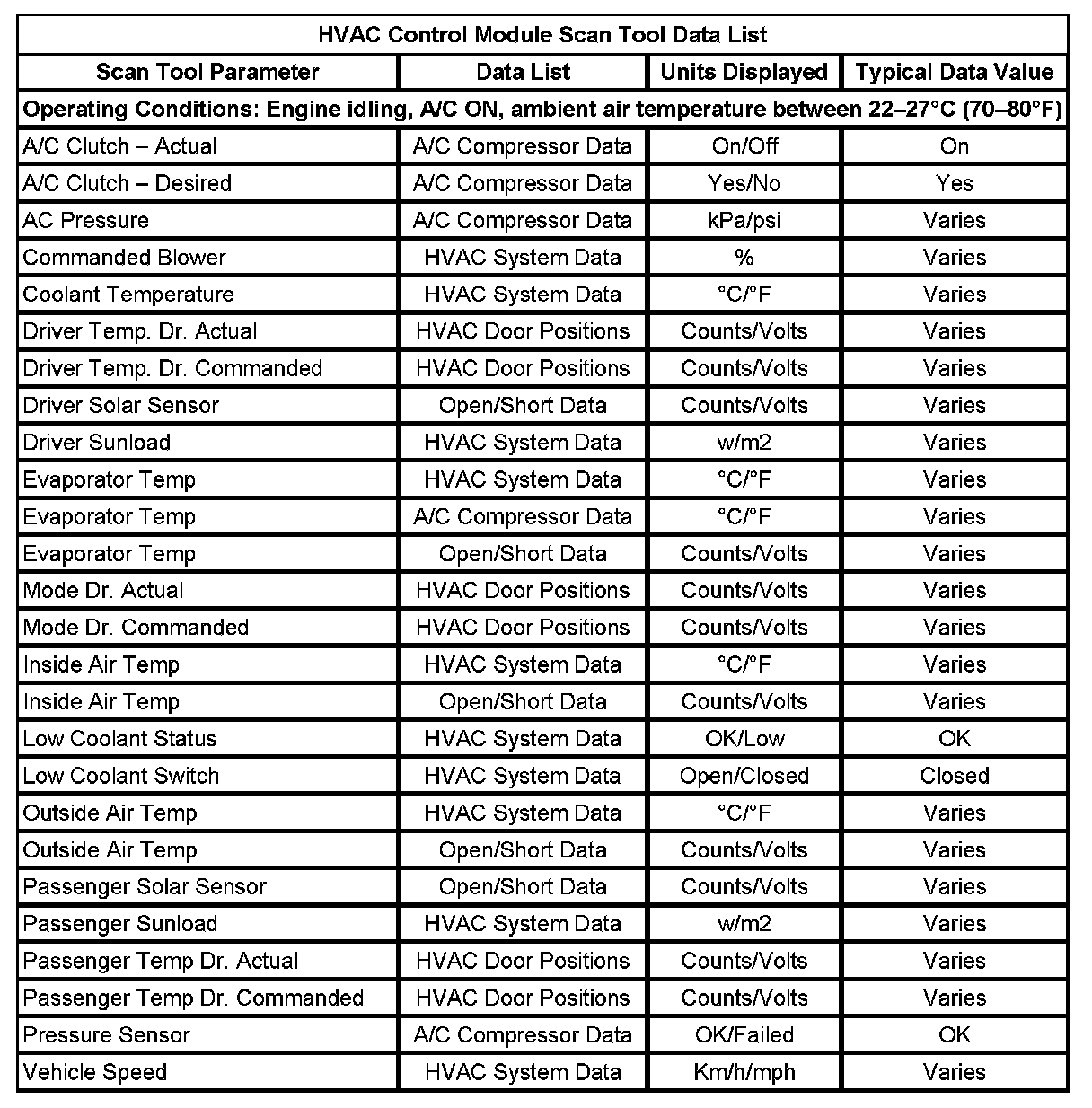
Scan Tool Data List
HVAC Control Module Scan Tool Data List:
ECM Scan Tool Data List: