Curiosii for ever!
: Car repair manuals for everyone.
Home
>>
Buick
>>
2006
>>
LaCrosse V6-3.8L VIN 2
>>
Repair and Diagnosis
>>
Specifications
>>
Electrical Specifications
>>
Automatic Transmission/Transaxle
>>
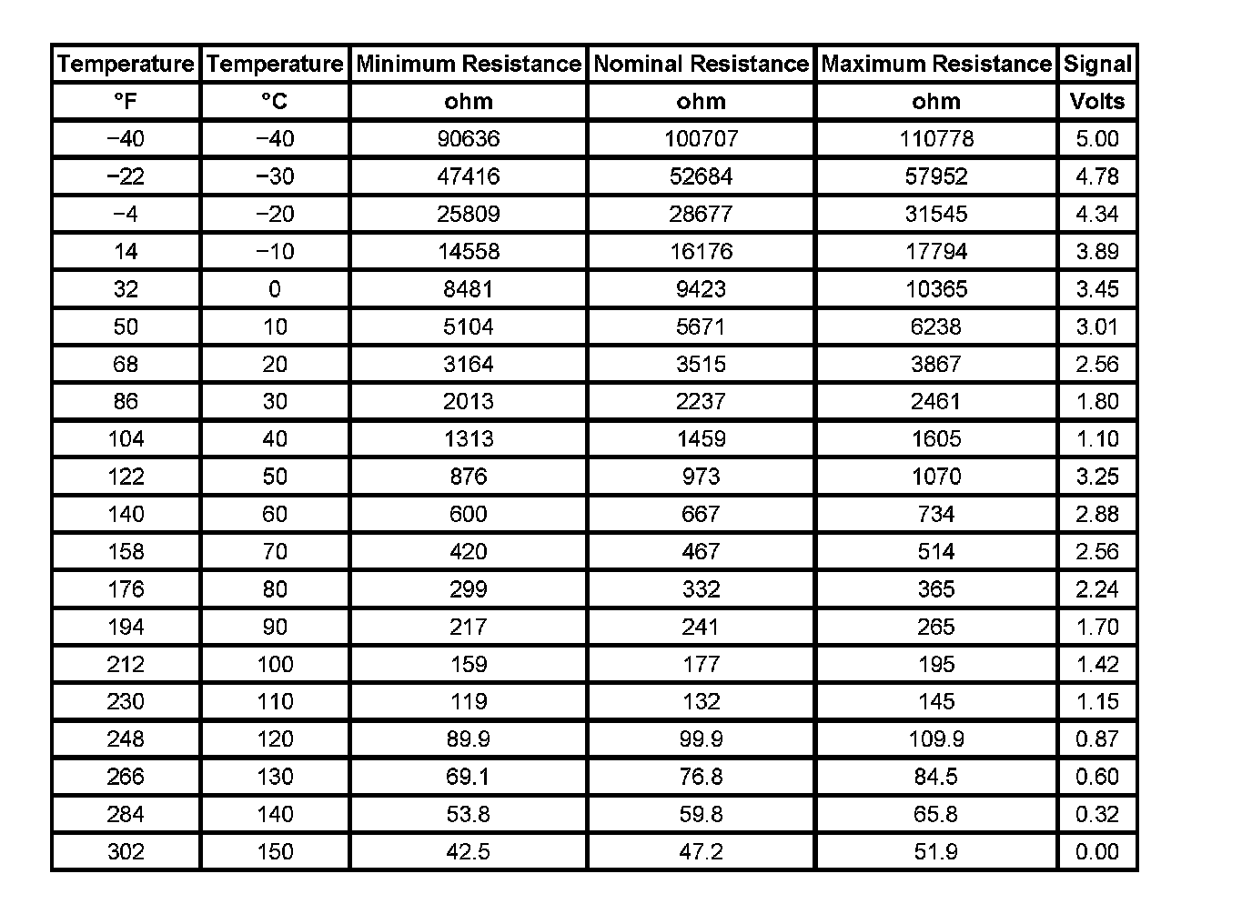
Transmission Temperature Sensor/Switch, A/T
Transmission Temperature Sensor/Switch, A/T
Transmission Fluid Temperature (TFT) Sensor Specifications: