Curiosii for ever!
: Car repair manuals for everyone.
Home
>>
Buick
>>
2003
>>
Regal V6-3.8L VIN K
>>
Repair and Diagnosis
>>
Specifications
>>
Mechanical Specifications
>>
Automatic Transmission/Transaxle
>>
System Specifications
>>
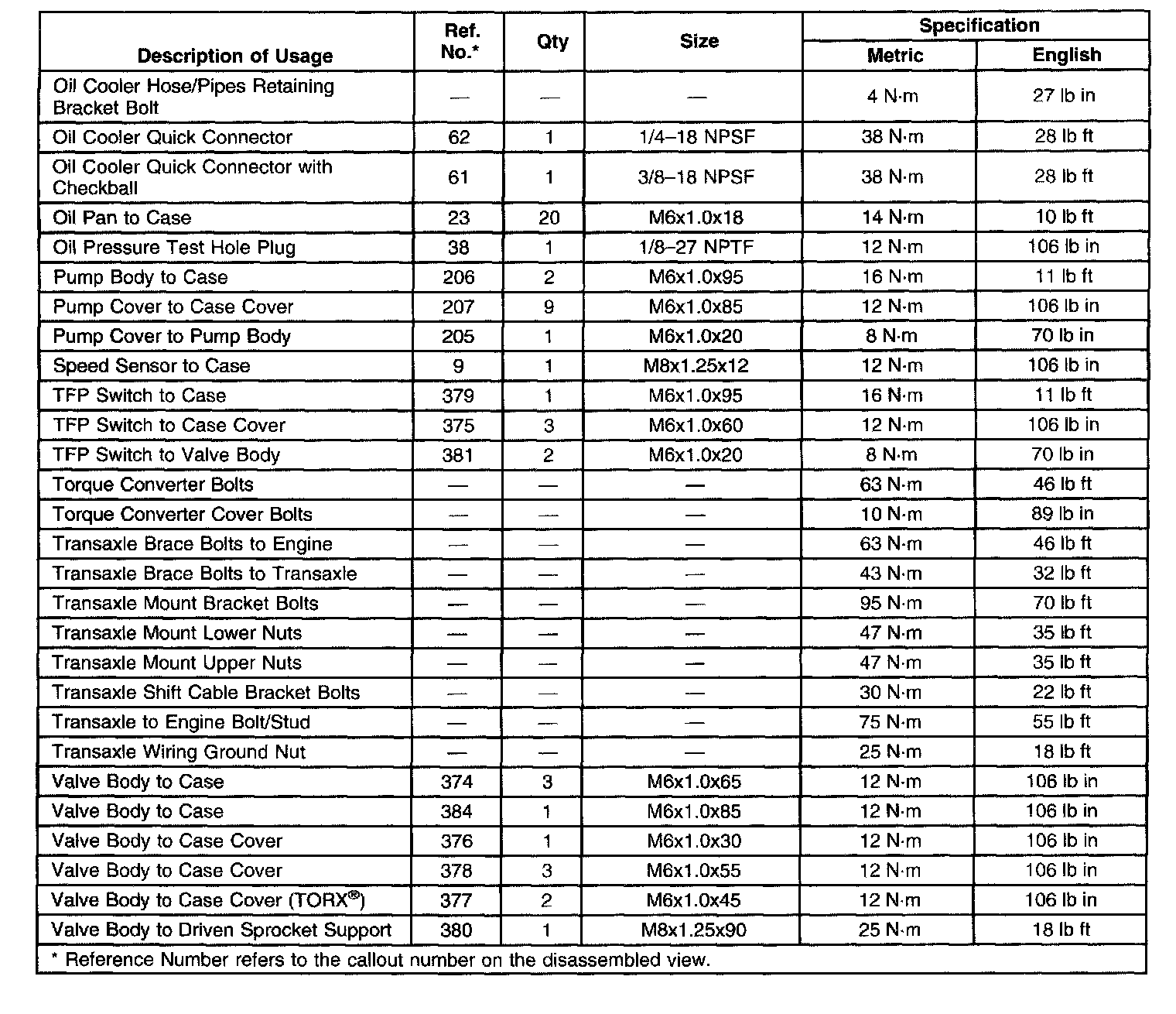
Fastener Tightening Specifications
Fastener Tightening Specifications
Part 1 Of 2:
Part 2 Of 2: