Curiosii for ever!: Car repair manuals for everyone.

Recall - Potential Engine Compartment Fire: Overview

SAFETY

Bulletin No.: 09047A

Date: May 18, 2010

Subject: 09047A - Engine Compartment Fire

Models:
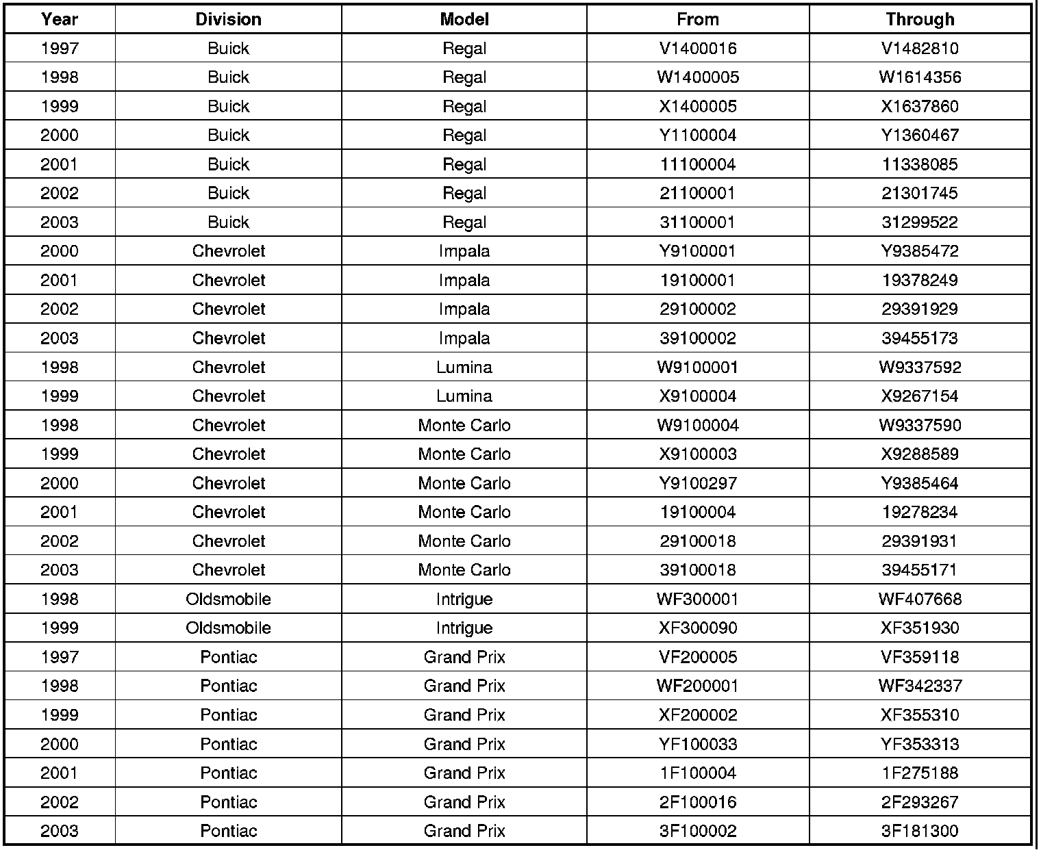
1997-2003 Buick Regal
1998-1999 Chevrolet Lumina
1998-2003 Chevrolet Monte Carlo
2000-2003 Chevrolet Impala
1998-1999 Oldsmobile Intrigue
1997-2003 Pontiac Grand Prix
Equipped with 3.8L V6 Naturally Aspirated Engine (RPO L36 - VIN K)

Supercede:
The Service Procedure in this bulletin has been revised. Technicians should review the revised service procedure immediately.Please discard all copies of bulletin 09047, issued April 2009.

Condition

General Motors has decided that a defect, which relates to motor vehicle safety, exists in certain 1997-2003 model year Buick Regal and Pontiac Grand Prix, 1998-1999 model year Chevrolet Lumina and Oldsmobile Intrigue, 1998-2003 model year Chevrolet Monte Carlo, and 2000-2003 model year Chevrolet Impala model vehicles, equipped with a 3.8L V6 naturally aspirated engine (RPO L36 - VIN K). Some of these vehicles have a condition in which drops of engine oil may be deposited on the exhaust manifold through hard braking. In rare cases, if this condition occurs, and if a hot surface ignition source were present, an engine compartment fire could occur.

Correction

Dealers are to remove the 1-3-5 spark plug wire retention channel at the front of engine and replace it with new retainers.

Vehicles Involved

Involved are certain 1997-2003 model year Buick Regal and Pontiac Grand Prix, 1998-1999 model year Chevrolet Lumina and Oldsmobile Intrigue, 1998-2003 model year Chevrolet Monte Carlo, and 2000-2003 model year Chevrolet Impala model vehicles, equipped with a 3.8L V6 naturally aspirated engine (RPO L36 - VIN K), and built within these VIN breakpoints:





Important
Dealers are to confirm vehicle eligibility prior to beginning repairs by using GMVIS (dealers using WINS) or the Investigate History link (dealers using GWM). Not all vehicles within the above breakpoints may be involved.

For dealers with involved vehicles, a listing with involved vehicles containing the complete vehicle identification number, customer name, and address information has been prepared and will be provided through the applicable system listed below. Dealers will not have a report available if they have no involved vehicles currently assigned.

- US and Canadian dealers - GM GlobalConnect Recall Reports

- Export dealers - sent directly to dealers

The listing may contain customer names and addresses obtained from Motor Vehicle Registration Records. The use of such motor vehicle registration data for any purpose other than follow-up necessary to complete this recall is a violation of law in several states/provinces/countries. Accordingly, you are urged to limit the use of this report to the follow-up necessary to complete this recall.

Parts Information

Parts required to complete this recall are to be obtained from General Motors Service and Parts Operations (GMSPO). Please refer to your "involved vehicles listing" before ordering parts. Normal orders should be placed on a DRO = Daily Replenishment Order. In an emergency situation, parts should be ordered on a CSO = Customer Special Order.





Service Procedure





1. Remove the fuel injector sight shield (1). Refer to Fuel Injector Sight Shield Replacement in SI.





Important
It is not necessary to remove the spark plug wires from the spark plugs.

2. Remove the 1-3-5 spark plug plastic retaining channel (cover) clip/bracket (2) from the engine and discard it.





3. If present, remove any plastic (polypropylene) conduit (1) from spark plug wires at the front of the engine (should only be found on spark plug wires 1 and 5).7mm Four-Wire Retainer, P/N 88891792





Important
If a 7mm four-wire retainer is not available, use an 8mm four-wire retainer (1), P/N 14066248 (qty 10/pack), or equivalent 7mm aftermarket spark plug wire retainer.





4. Install a 7mm four-wire retainer, P/N 88891792 (1) (qty 5/pack) to spark plug wire number 4, then to spark plug wires 1,3 and 5. Save the other 7mm or 8mm spark plug four-wire retainers for future repairs. Make sure that spark plug wires 2, 4 and 6 are secured to the original retainers and under the left engine mount strut bracket (2).
7mm Two-Wire Retainer, P/N 12132229









Important
Ensure that spark plug wires 3 and 5 are routed behind the oil level indicator and lift bracket. Ensure that the two-wire retainer (3), P/N 12132229, is positioned above the 3 spark plug wire boot. Do NOT position the retainer (3) above an exhaust runner.

5. Install a 7mm two-wire retainer, P/N 12132229 (qty 10/pack) to spark plug wires 3 and 5 only (3). Save the other 7mm spark plug two-wire retainers for future repairs. Make sure the spark plug retainer (3) is approximately 50mm (2 in) from the oil level indicator (2).





Important
Ensure the installed spark plug wire retainers do not contact the fuel injector sight shield or exhaust manifold. Double check the retainers to ensure they are securely latched. If the retainer appears damaged in any way remove it and replace it with a new retainer.

6. Install the fuel injector sight shield (1). Refer to Fuel Injector Sight Shield Replacement in SI.

Important
Double check to ensure that no retainers, conduit or other flammable materials were dropped onto the exhaust manifold. Remove any foreign material found on or near the exhaust manifold.

Claim Information

1. Submit a claim using the table below.





Customer Notification - For US and Canada

General Motors will notify customers of this recall on their vehicle (see copy of customer letter included with this bulletin).

Customer Notification - For Export

Letters will be sent to known owners of record located within areas covered by the US National Traffic and Motor Vehicle Safety Act. For owners outside these areas, dealers should notify customers using the attached sample letter.

Dealer Recall Responsibility - For US and Export (US States, Territories, and Possessions)

The US National Traffic and Motor Vehicle Safety Act provides that each vehicle that is subject to a recall of this type must be adequately repaired within a reasonable time after the customer has tendered it for repair. A failure to repair within sixty days after tender of a vehicle is prima facie evidence of failure to repair within a reasonable time. If the condition is not adequately repaired within a reasonable time, the customer may be entitled to an identical or reasonably equivalent vehicle at no charge or to a refund of the purchase price less a reasonable allowance for depreciation. To avoid having to provide these burdensome remedies, every effort must be made to promptly schedule an appointment with each customer and to repair their vehicle as soon as possible. In the recall notification letters, customers are told how to contact the US National Highway Traffic Safety Administration if the recall is not completed within a reasonable time.

Dealer Recall Responsibility - All

All unsold new vehicles in dealers' possession and subject to this recall must be held and inspected/repaired per the service procedure of this recall bulletin before customers take possession of these vehicles.

Dealers are to service all vehicles subject to this recall at no charge to customers, regardless of mileage, age of vehicle, or ownership, from this time forward.

Customers who have recently purchased vehicles sold from your vehicle inventory, and for which there is no customer information indicated on the dealer listing, are to be contacted by the dealer. Arrangements are to be made to make the required correction according to the instructions contained in this bulletin. A copy of the customer letter is provided in this bulletin for your use in contacting customers. Recall follow-up cards should not be used for this purpose, since the customer may not as yet have received the notification letter.

In summary, whenever a vehicle subject to this recall enters your vehicle inventory, or is in your dealership for service in the future, you must take the steps necessary to be sure the recall correction has been made before selling or releasing the vehicle.





Disclaimer