Curiosii for ever!
: Car repair manuals for everyone.
Home
>>
Buick
>>
1995
>>
Riviera V6-3.8L SC VIN 1
>>
Repair and Diagnosis
>>
Powertrain Management
>>
Computers and Control Systems
>>
Information Bus
>>
Testing and Inspection
>>
Symptom Related Diagnostic Procedures
>>
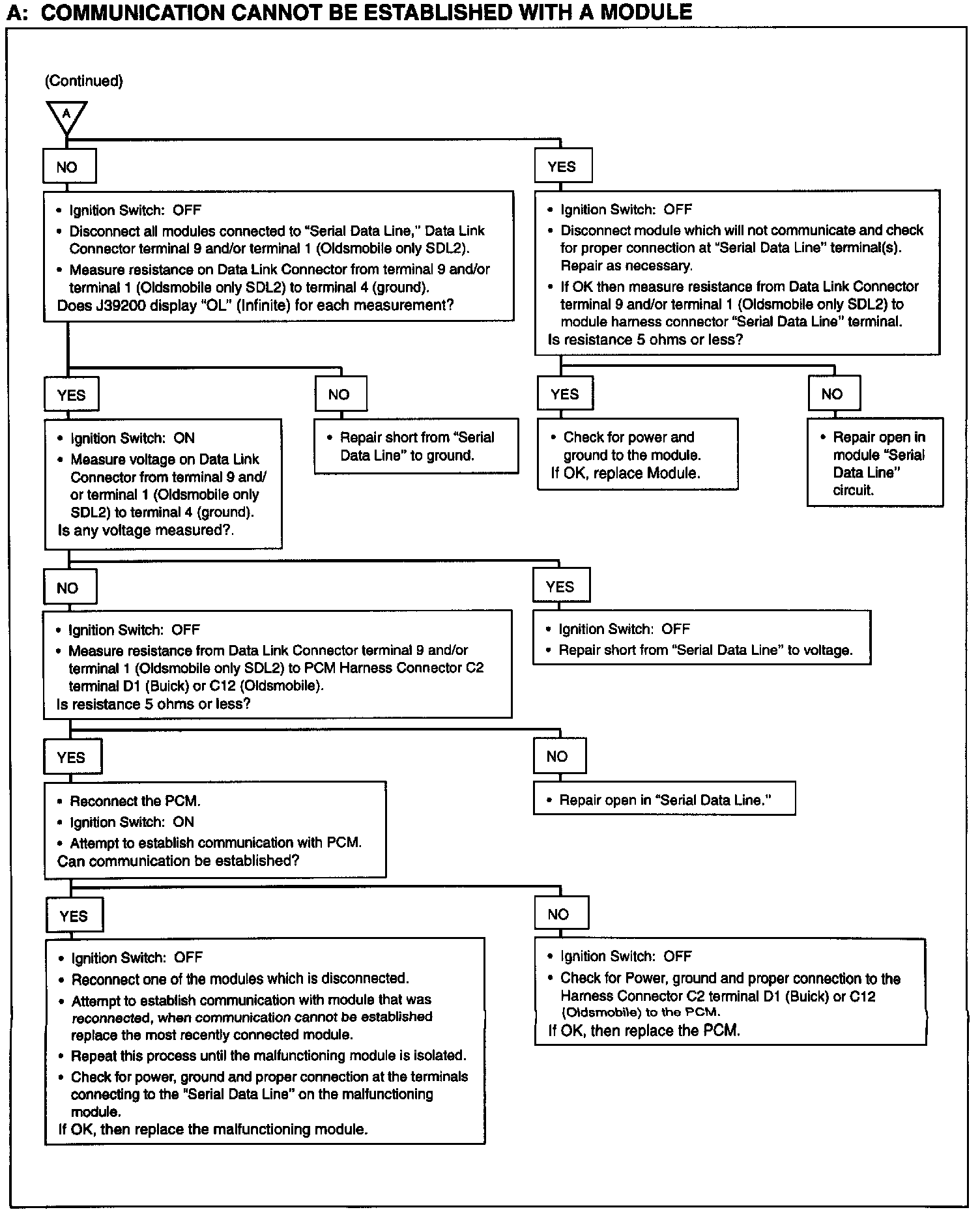
Chart A: Communication Cannot Be Established With A Module
Chart A: Communication Cannot Be Established With A Module
A: Communication Cannot Be Established With A Module:
A: Communication Cannot Be Established With A Module: