Curiosii for ever!
: Car repair manuals for everyone.
Home
>>
Buick
>>
1993
>>
Roadmaster V8-350 5.7L
>>
Repair and Diagnosis
>>
Heating and Air Conditioning
>>
Testing and Inspection
>>
Component Tests and General Diagnostics
>>
System Operation Check
>>
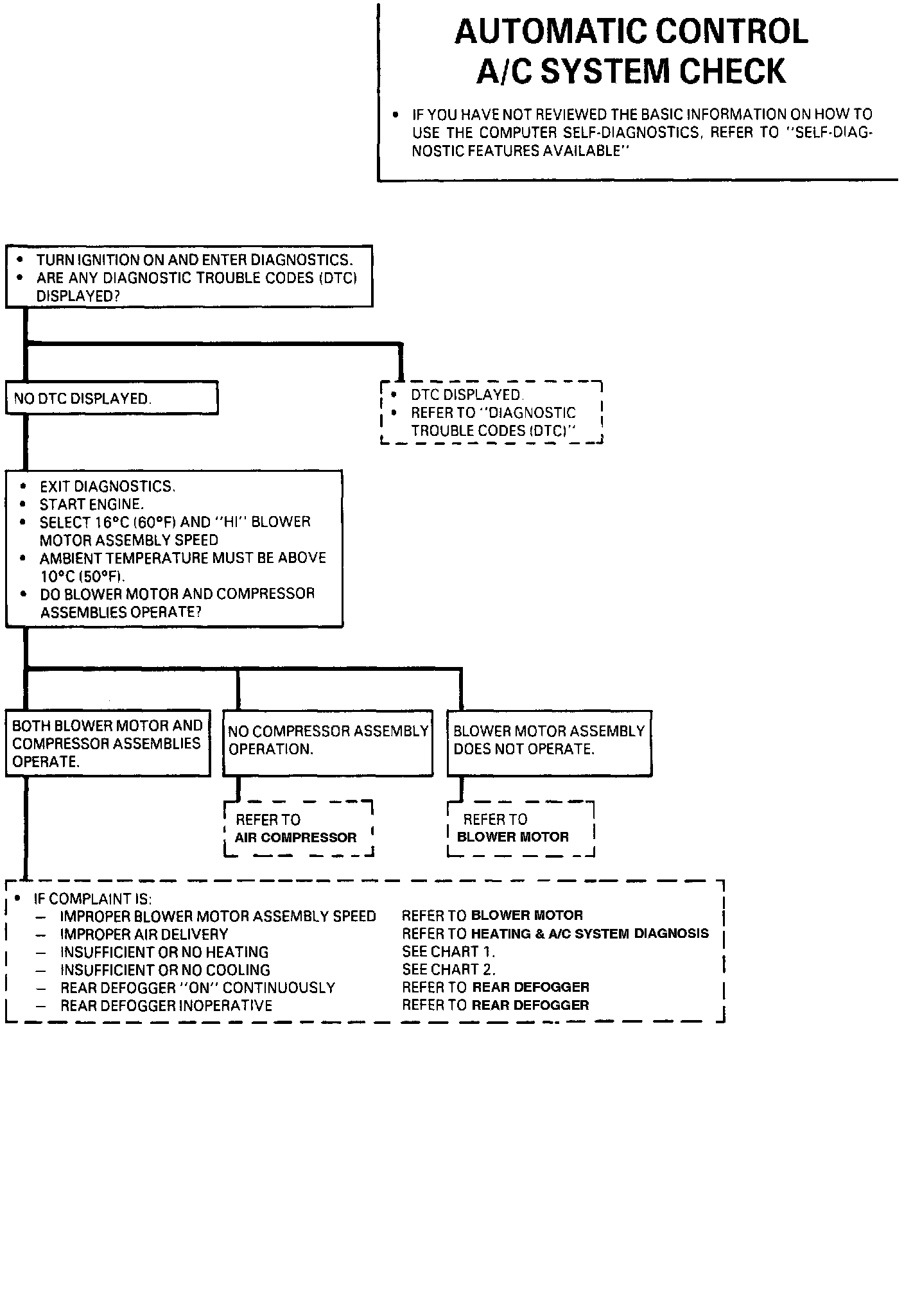
System Check - Electronic A/C
System Check - Electronic A/C
eaLDiagnostic Chart: