Curiosii for ever!
: Car repair manuals for everyone.
Home
>>
Buick
>>
1993
>>
Roadmaster V8-350 5.7L
>>
Repair and Diagnosis
>>
Cruise Control
>>
Testing and Inspection
>>
Symptom Related Diagnostic Procedures
>>
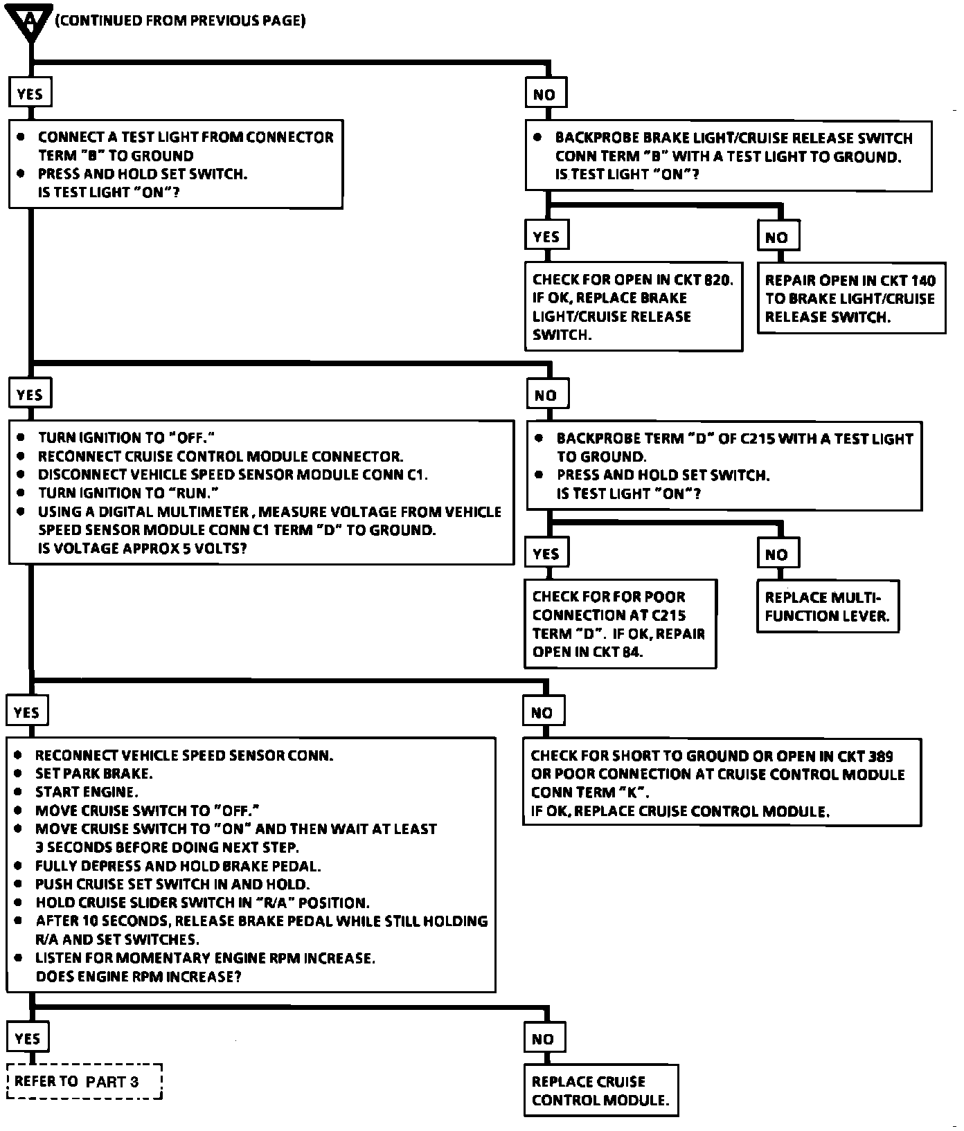
Cruise Control Will Not Engage
Cruise Control Will Not Engage
Cruise Control Will Not Engage (part 1):
Cruise Control Will Not Engage (part 2):