Curiosii for ever!
: Car repair manuals for everyone.
Home
>>
Buick
>>
1991
>>
Skylark V6-204 3.3L VIN N FI
>>
Repair and Diagnosis
>>
Heating and Air Conditioning
>>
Specifications
>>
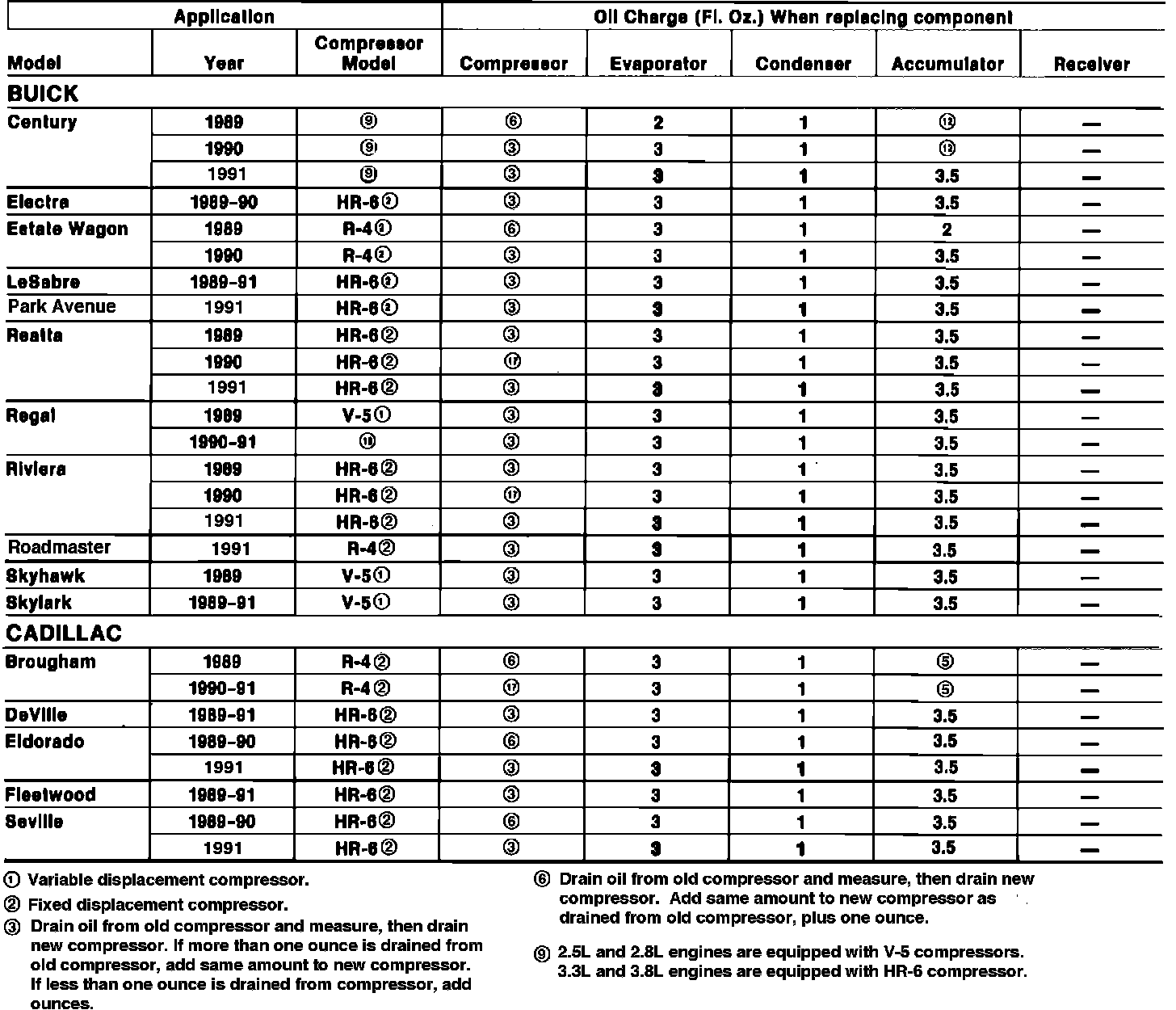
Oil Charge Data Table
Oil Charge Data Table
Oil Charge Data Table: