Curiosii for ever!
: Car repair manuals for everyone.
Home
>>
Buick Truck
>>
2005
>>
Terraza FWD V6-3.5L VIN 8
>>
Repair and Diagnosis
>>
Heating and Air Conditioning
>>
Testing and Inspection
>>
Scan Tool Testing and Procedures
>>
Scan Tool Data List
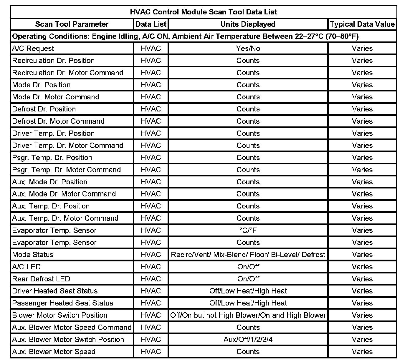
Scan Tool Data List
HVAC Control Module Scan Tool Data List:
PCM Scan Tool Data List: