Curiosii for ever!: Car repair manuals for everyone.

Read Measuring Value Blocks (Function 08)




Read Measuring Value Block (function 08)
- Initiate On Board Diagnostic (060) of immobilizer, Initiating


Display on VAS5051:







- Select diagnostic function "08 - read measured value block" in selection -1-.


Display on VAS5051:







1 - Enter display group Max. input value = 255
- Enter desired display group number in button field -2- Display group overview, Refer to "Scan Tool Testing/Measuring Value Blocks (Function 08)/Reading" under "Instrument Panel", Testing and Inspection
- Press -Q- button to confirm input.


Display on VAS5051:







1 - Display group X
2 - Display field 1
Display field 2
Display field 3
Display field 4

NOTE:
- If no display follows, a display field is not assigned.
- To switch to a different display group, proceed as follows:

Display group VAS5051 tester
higher press UP arrow button
lower press DOWN arrow button

- Press "08 - Erase DTC Memory" to end function <- button.

Display group overview:

Display group number Indicated on display
022 1 = Start procedure permitted
2 = Engine Control Module (ECM) responding
3 = Key condition OK
4 = Number of adapted keys

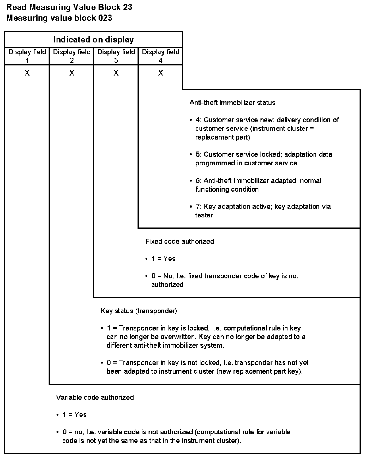
023 1 = Variable code authorized
2 = Key status (transponder)
3 = Fixed code authorized
4 = Anti-theft immobilizer status

024 1 = Instrument cluster locking time
2 = Engine Control Module (ECM) locking time
4 = Transponder recognition locking time
025 1= CAN-communication

Measured value block 022







Measured value block 023







Measured value block 024







Measured value block 025