Curiosii for ever!: Car repair manuals for everyone.

Evaluating Measured Value Blocks




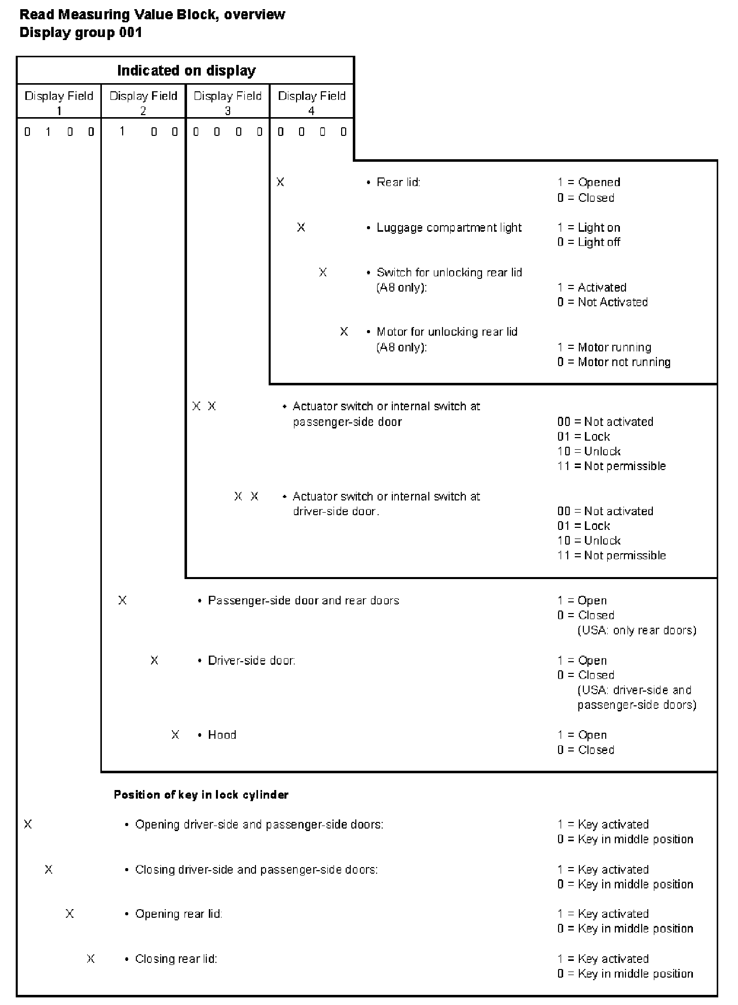
Read Measuring Value Block, Overview

Display Group 001


Display Group 001:






Display group 002


Display Group 002:






Display group 003


Display Group 003:






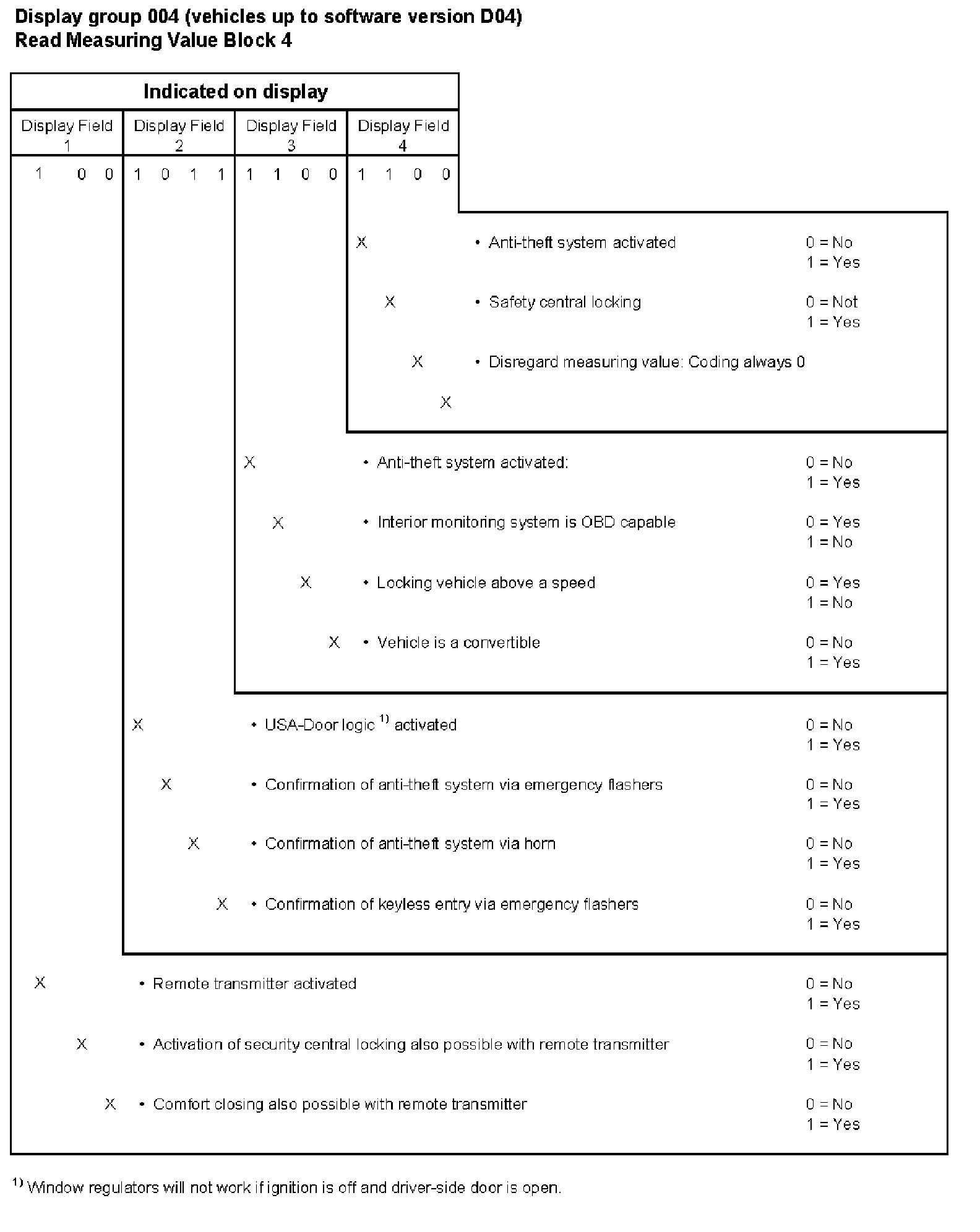
Display group 004 (vehicles up to software version D04)


Display Group 004:






Display group 004 (vehicles from software version D05)


Display Group 004: