Curiosii for ever!
: Car repair manuals for everyone.
Home
>>
Audi
>>
1992
>>
100, S, CS Sedan V6-2.8L (AAH)
>>
Repair and Diagnosis
>>
Relays and Modules
>>
Relays and Modules - Body and Frame
>>
Power Seat Control Module
>>
Technical Service Bulletins
>>
Power Seat With Memory - Troubleshooting
>>
Passenger Seat Cannot Be Adjusted
>>
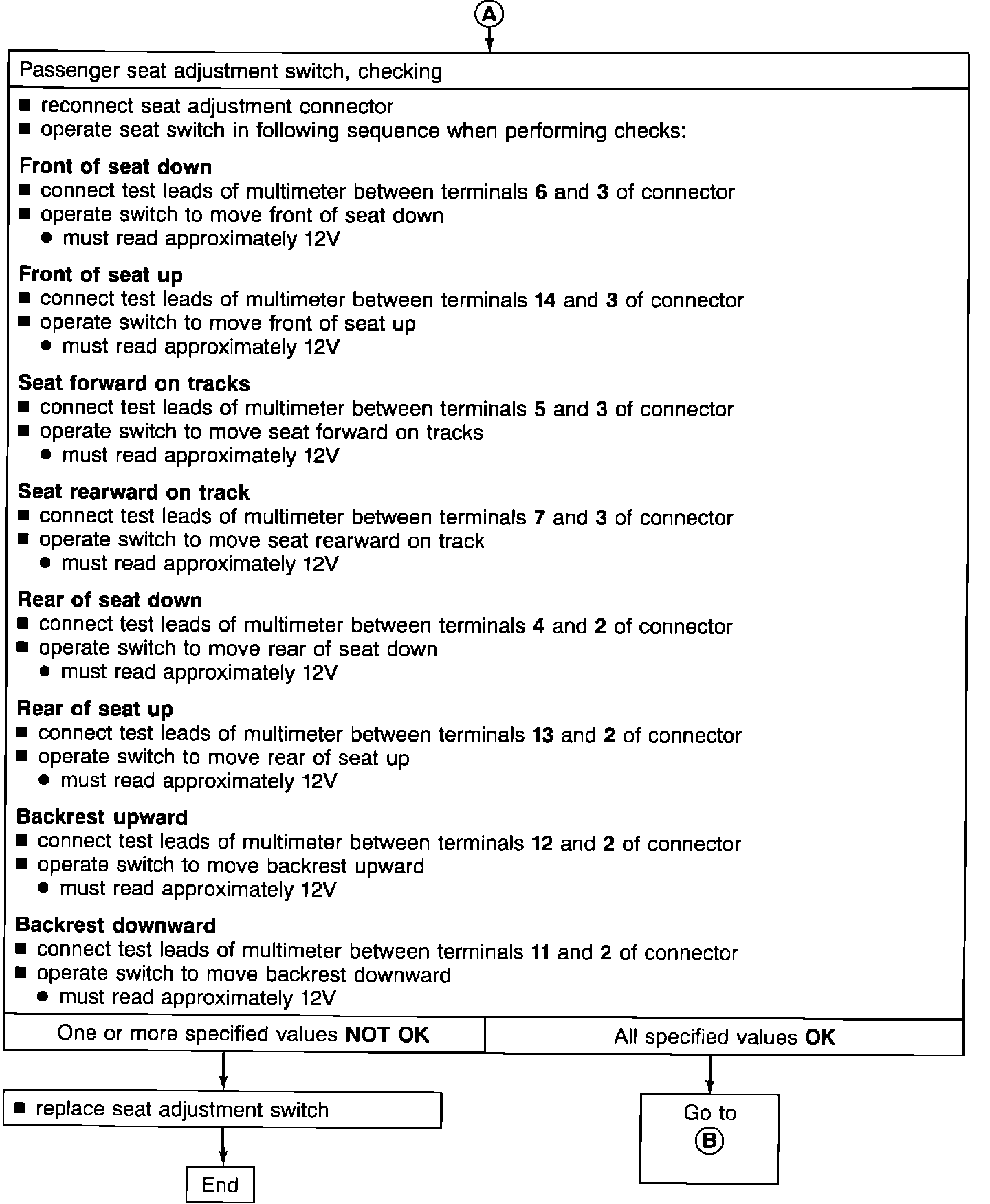
Chart A Passenger Seat Adjustment Switch
Chart A Passenger Seat Adjustment Switch