Curiosii for ever!
: Car repair manuals for everyone.
Home
>>
Audi
>>
1991
>>
80 L5-2309cc 2.3L SOHC (NG)
>>
Repair and Diagnosis
>>
Specifications
>>
Electrical Specifications
>>
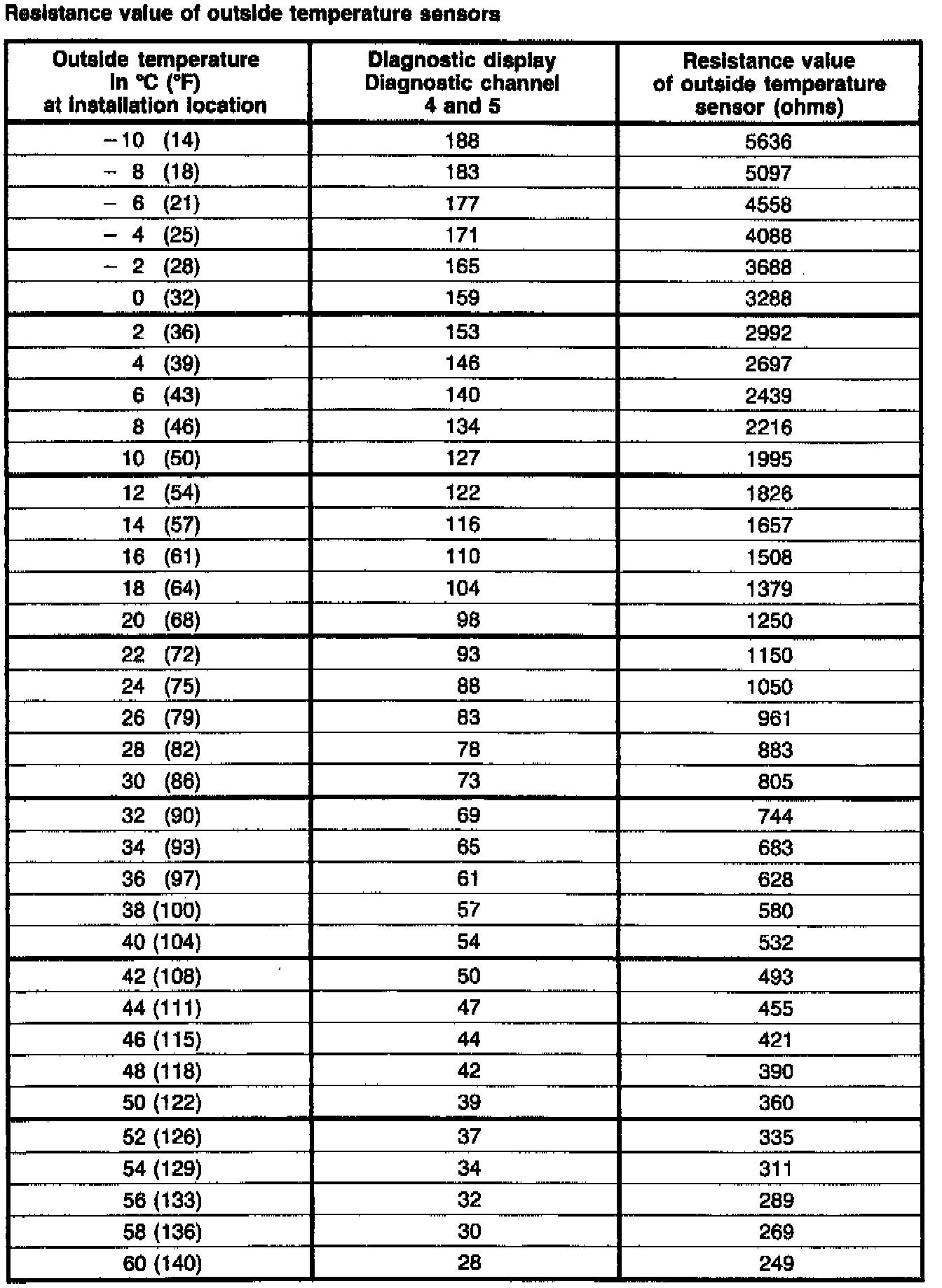
Ambient Temperature Sensor / Switch HVAC
Ambient Temperature Sensor / Switch HVAC
Outside Temperature Sensors, Specifications: