Curiosii for ever!
: Car repair manuals for everyone.
Home
>>
Acura
>>
2010
>>
TL AWD V6-3.7L
>>
Repair and Diagnosis
>>
Specifications
>>
Mechanical Specifications
>>
Automatic Transmission/Transaxle
>>
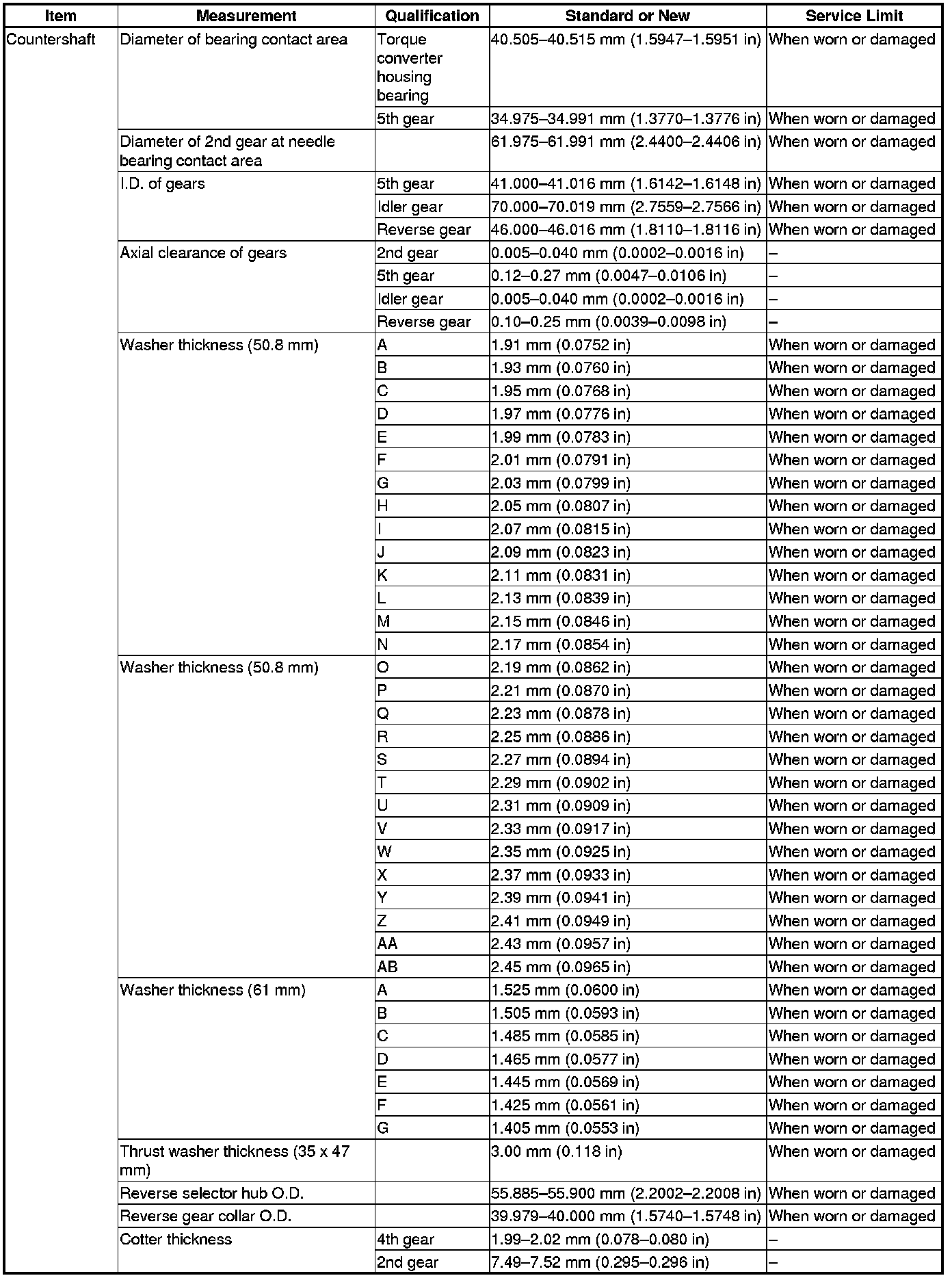
Countershaft Specification(s) (A/T)
Countershaft Specification(s) (A/T)
Countershaft
Countershaft