Curiosii for ever!: Car repair manuals for everyone.

Symptom Troubleshooting Index

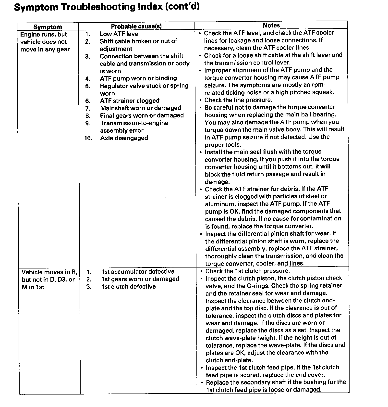
Symptom Troubleshooting Index

Symptom Troubleshooting Index (Part 1):




Symptom Troubleshooting Index (Part 2):




Symptom Troubleshooting Index (Part 3):




Symptom Troubleshooting Index (Part 4):




Symptom Troubleshooting Index (Part 5):




Symptom Troubleshooting Index (Part 6):




Symptom Troubleshooting Index (Part 7):




Symptom Troubleshooting Index (Part 8):




Symptom Troubleshooting Index (Part 9):




Symptom Troubleshooting Index (Part 10):




Symptom Troubleshooting Index (Part 11):