Curiosii for ever!
: Car repair manuals for everyone.
Home
>>
Acura
>>
1999
>>
Integra GS-R Sedan L4-1797cc 1.8L DOHC (VTEC) MFI
>>
Repair and Diagnosis
>>
Powertrain Management
>>
Transmission Control Systems
>>
Testing and Inspection
>>
Symptom Related Diagnostic Procedures
>>
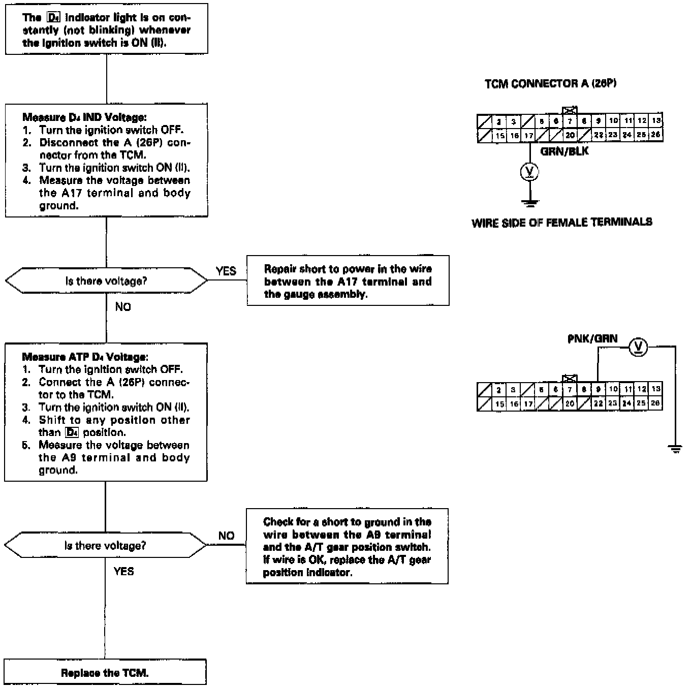
D4 Indicator Light ON Constantly
D4 Indicator Light ON Constantly