Curiosii for ever!
: Car repair manuals for everyone.
Home
>>
Acura
>>
1999
>>
Integra GS-R Sedan L4-1797cc 1.8L DOHC (VTEC) MFI
>>
Repair and Diagnosis
>>
Powertrain Management
>>
Computers and Control Systems
>>
Sensors and Switches - Computers and Control Systems
>>
Transmission Position Sensor/Switch
>>
Testing and Inspection
>>
Component Testing
Component Testing
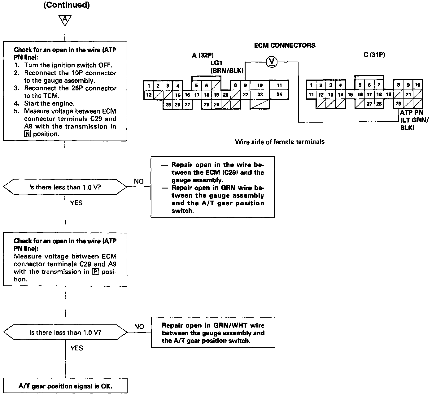
This signal the ECM when the transmission is in park or neutral.