Curiosii for ever!
: Car repair manuals for everyone.
Home
>>
Acura
>>
1999
>>
CL L4-2254cc 2.3L SOHC (VTEC) MFI
>>
Repair and Diagnosis
>>
Powertrain Management
>>
Computers and Control Systems
>>
Testing and Inspection
>>
Component Tests and General Diagnostics
>>
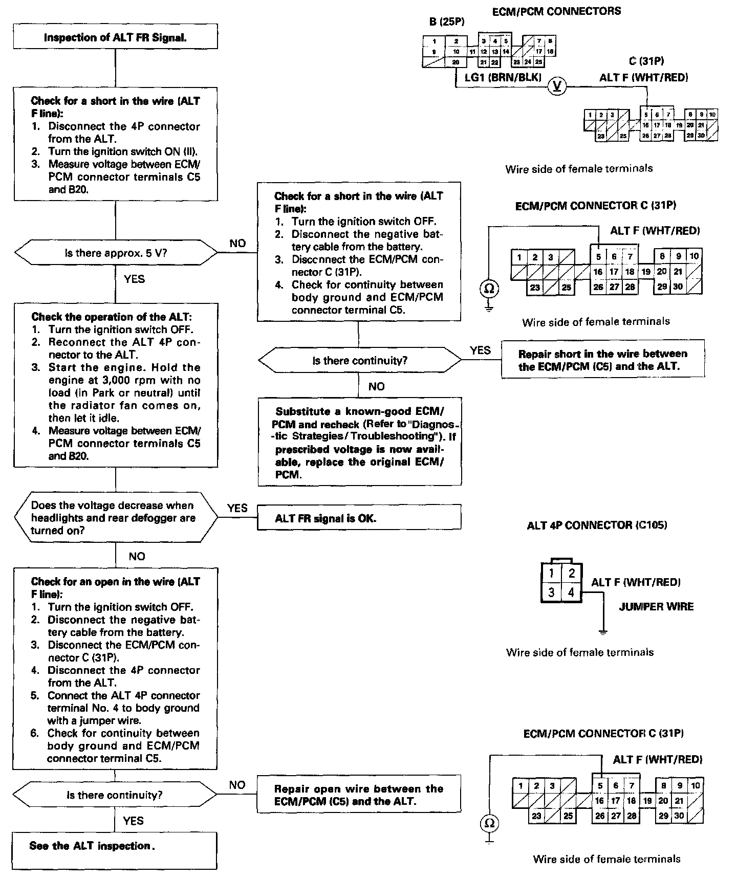
Alternator FR Signal Circuit Troubleshooting
Alternator FR Signal Circuit Troubleshooting
This signals the ECM/PCM when the Alternator (ALT) is charging.