Curiosii for ever!
: Car repair manuals for everyone.
Home
>>
Acura
>>
1998
>>
RL V6-3474cc 3.5L
>>
Repair and Diagnosis
>>
Powertrain Management
>>
Computers and Control Systems
>>
Testing and Inspection
>>
Component Tests and General Diagnostics
>>
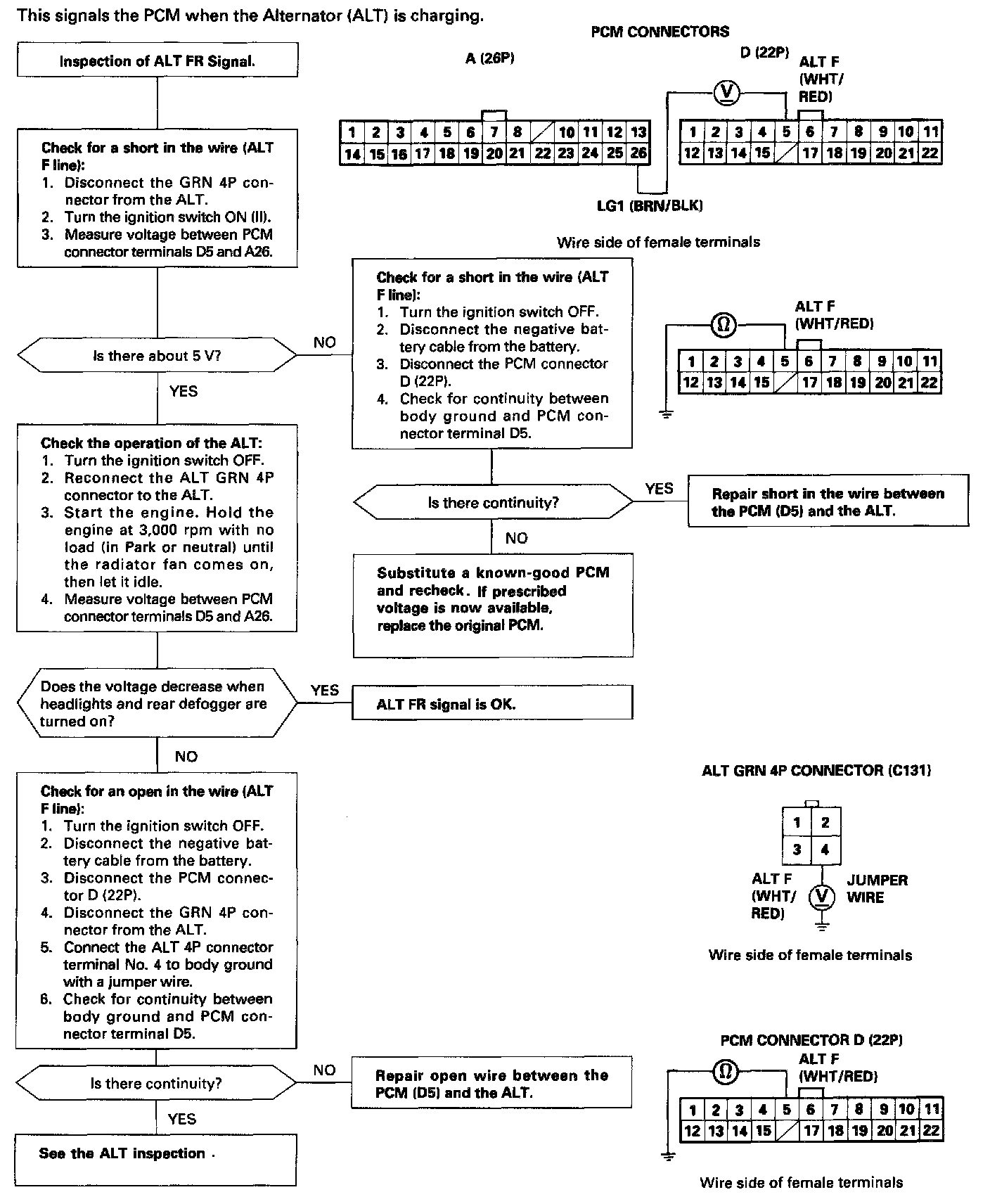
Alternator FR Signal Circuit Troubleshooting
Alternator FR Signal Circuit Troubleshooting