Curiosii for ever!
: Car repair manuals for everyone.
Home
>>
Acura
>>
1997
>>
CL V6-3.0L SOHC (VTEC)
>>
Repair and Diagnosis
>>
Powertrain Management
>>
Computers and Control Systems
>>
Transmission Position Sensor/Switch
>>
Testing and Inspection
>>
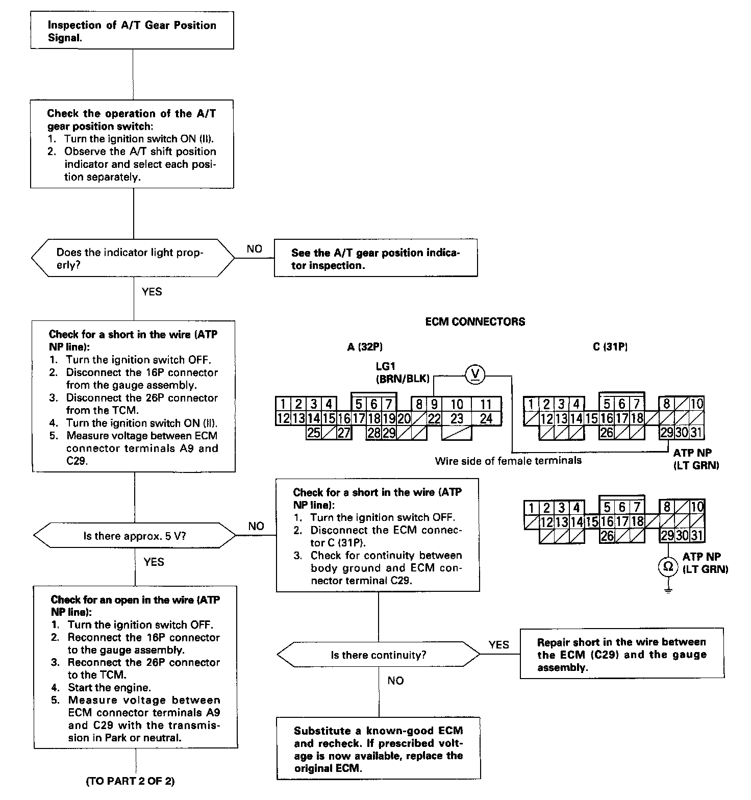
A/T Shift Position Signal
A/T Shift Position Signal
Part 1 Of 2:
Part 2 Of 2:
This signals the ECM when the transmission is in Park or neutral.