Curiosii for ever!
: Car repair manuals for everyone.
Home
>>
Acura
>>
1997
>>
CL V6-3.0L SOHC (VTEC)
>>
Repair and Diagnosis
>>
Powertrain Management
>>
Computers and Control Systems
>>
Testing and Inspection
>>
Component Tests and General Diagnostics
>>
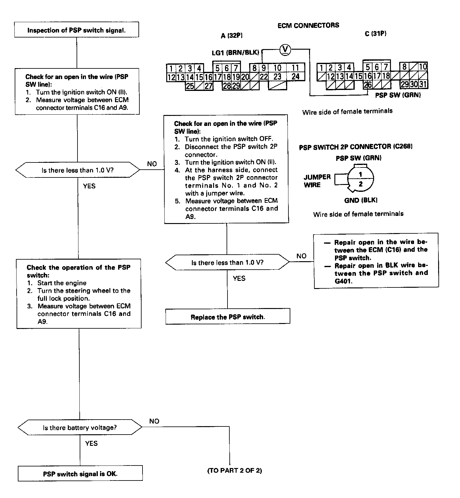
PSP Switch Signal Circuit Troubleshooting
PSP Switch Signal Circuit Troubleshooting
Part 1 Of 2:
Part 2 Of 2:
This signals the ECM/PCM when the power steering load is high.