Curiosii for ever!
: Car repair manuals for everyone.
Home
>>
Acura
>>
1996
>>
RL V6-3474cc 3.5L
>>
Repair and Diagnosis
>>
Transmission and Drivetrain
>>
Transmission Control Systems
>>
Testing and Inspection
>>
Component Tests and General Diagnostics
>>
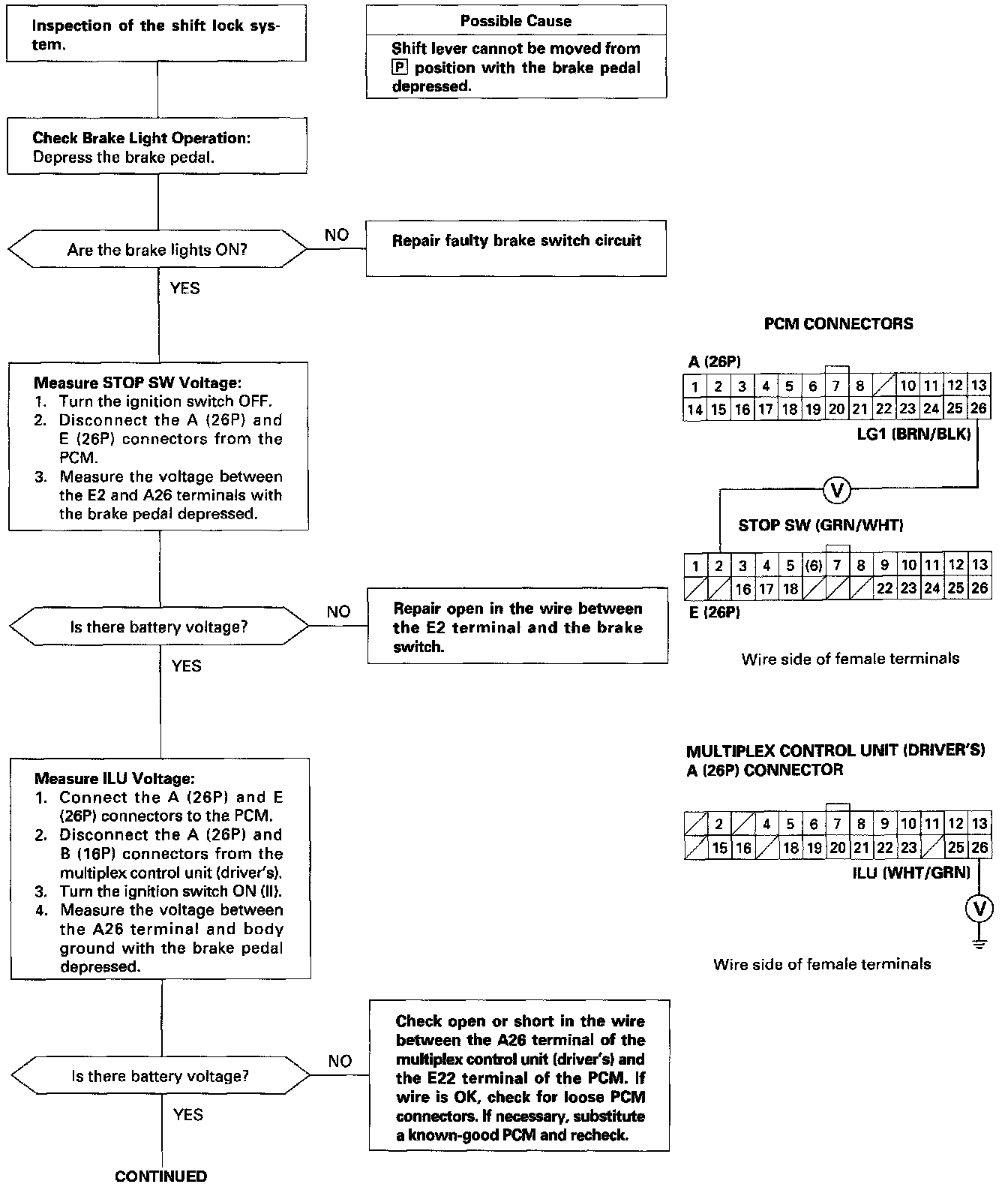
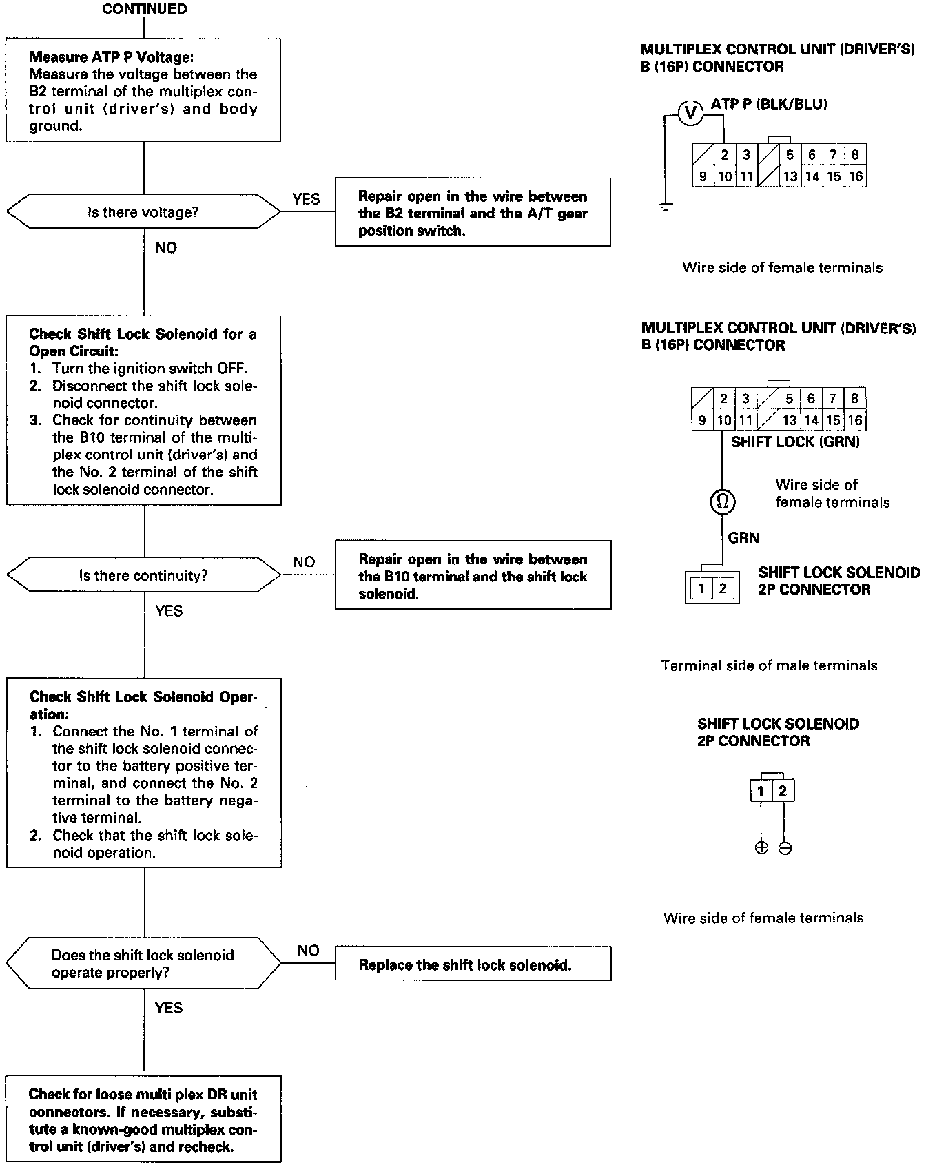
Interlock System - Shift Lock System Circuit Troubleshooting
Interlock System - Shift Lock System Circuit Troubleshooting