Curiosii for ever!: Car repair manuals for everyone.

Coolant Temperature Sensor/Switch (For Computer): Testing and Inspection












(_P0116_)
- The scan tool indicates Diagnostic Trouble Code (DTC) P0116: A range/performance problem in the Engine P0116 Coolant Temperature (ECT) Sensor circuit.

Possible Cause
- ECT sensor deterioration
- Malfunction in the cooling system

NOTE:
- If DTC P0117 and/or P0118 are stored at the same time as DTC P0116, troubleshoot those DTCs first, then troubleshoot DTC P0116.





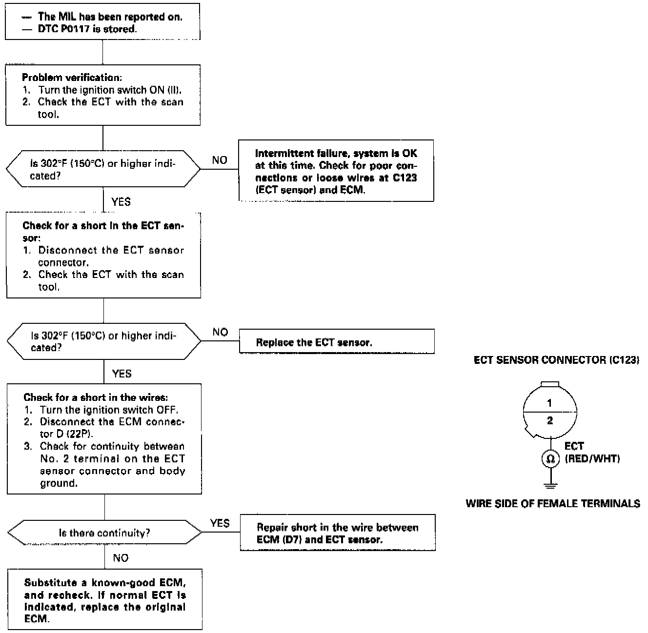
(_P0117_)
- The scan tool indicates Diagnostic Trouble Code (DTC) P0117: A low voltage (high temperature) problem in the Engine Coolant Temperature (ECT) sensor circuit.




(_P0118_)
- The scan tool indicates Diagnostic Trouble Code (DTC) P0118: A high voltage (low temperature) problem in the P0118 Engine Coolant Temperature (ECT) sensor circuit.