Curiosii for ever!
: Car repair manuals for everyone.
Home
>>
Acura
>>
1996
>>
Integra L4-1834cc 1.8L DOHC PFI
>>
Repair and Diagnosis
>>
Powertrain Management
>>
Computers and Control Systems
>>
Transmission Position Sensor/Switch
>>
Testing and Inspection
>>
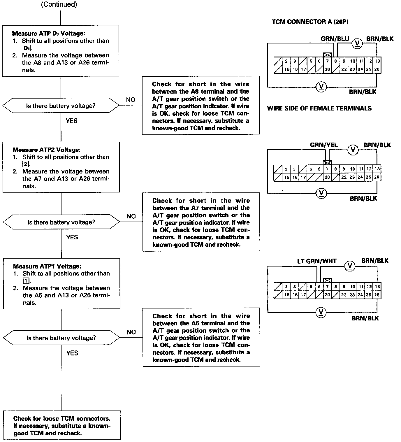
A/T Gear Position Switch (Short)
A/T Gear Position Switch (Short)