Curiosii for ever!: Car repair manuals for everyone.

Throttle Position Sensor: Testing and Inspection








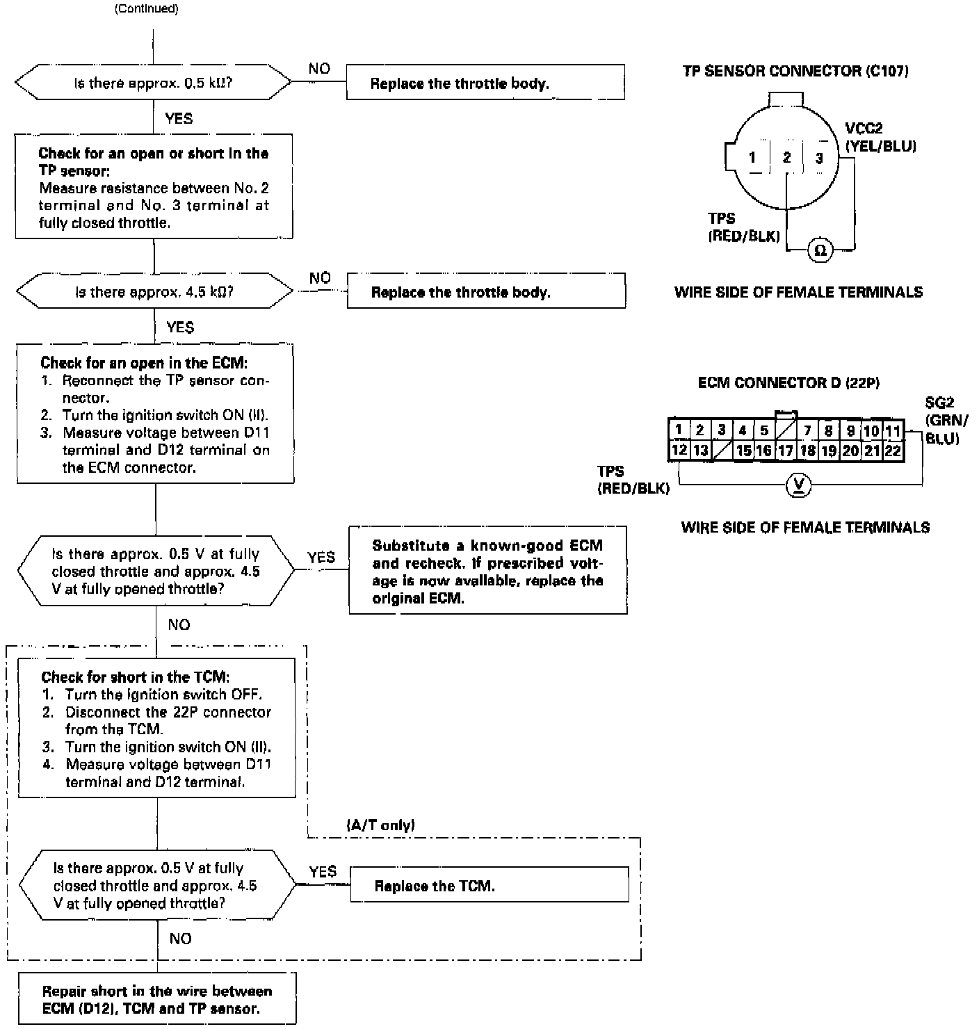
(_P0122_)
- The scan tool indicates Diagnostic Trouble Code (DTC) P0122: A low voltage problem in the Throttle Position P0122 (TP) sensor circuit.




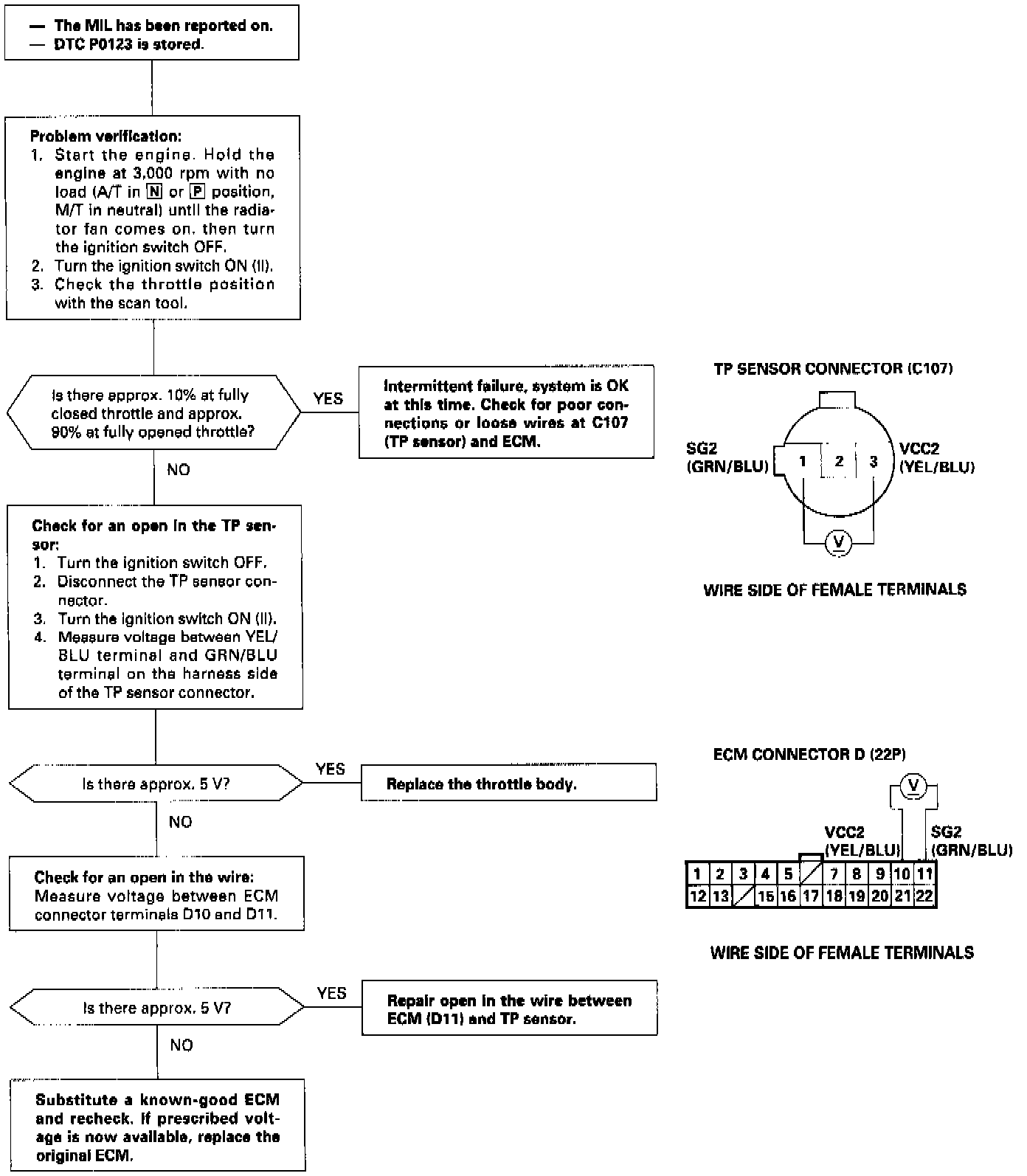
(_P0123_)
- The scan tool indicates Diagnostic Trouble Code (DTC) P0123: A high voltage problem in the Throttle Position P0123 (TP) sensor circuit.