Curiosii for ever!
: Car repair manuals for everyone.
Home
>>
Acura
>>
1993
>>
NSX V6-3.0L DOHC
>>
Repair and Diagnosis
>>
Powertrain Management
>>
Computers and Control Systems
>>
Transmission Position Sensor/Switch
>>
Testing and Inspection
>>
Automatic Transmission
Automatic Transmission
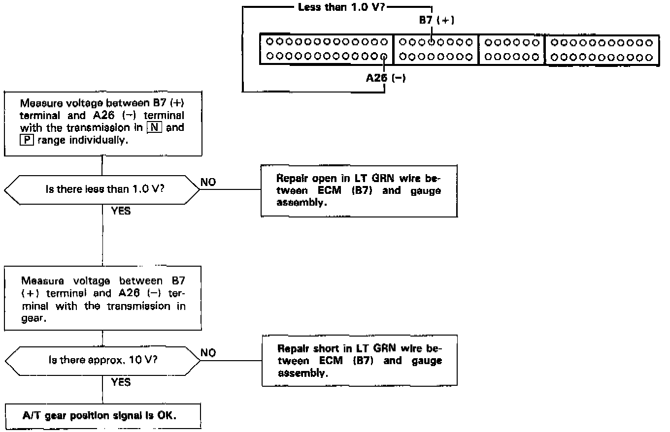
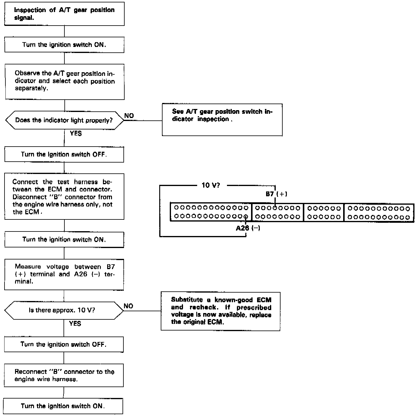
Follow the steps as shown in the Troubleshooting Flowchart.