Curiosii for ever!: Car repair manuals for everyone.

Troubleshooting Flowchart

INSPECTION

NOTE: If, after Performing circuit and individual component tests, it is determined that problem(so) may exist in the engine control module, It will be necessary to substitute the engine control module with a known good engine control module and retest as needed.

Follow the steps as shown in the Troubleshooting Flowcharts.





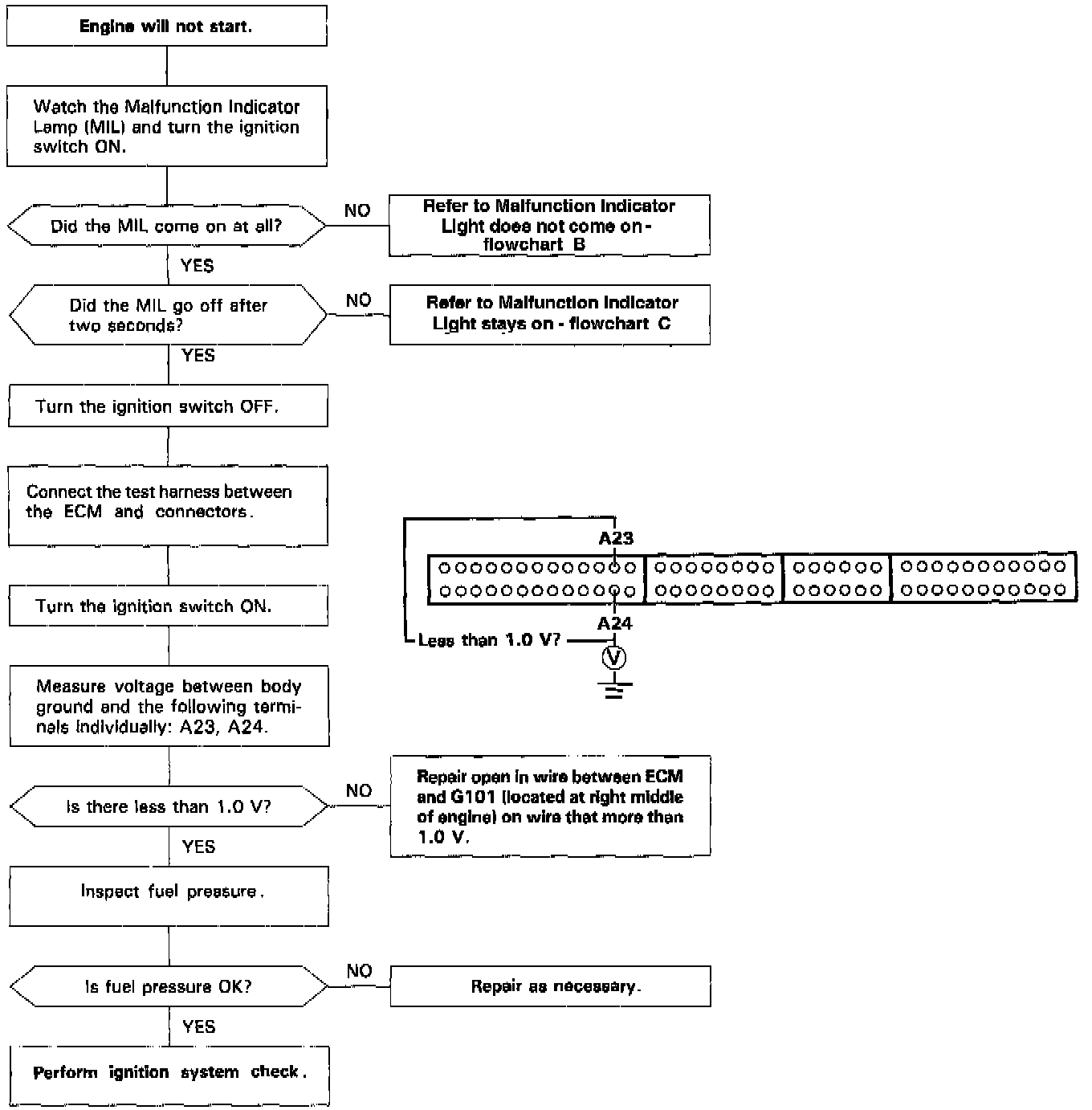
Troubleshooting flowchart A - engine will not start.





Troubleshooting flowchart B - malfunction indicator lamp does not come on.











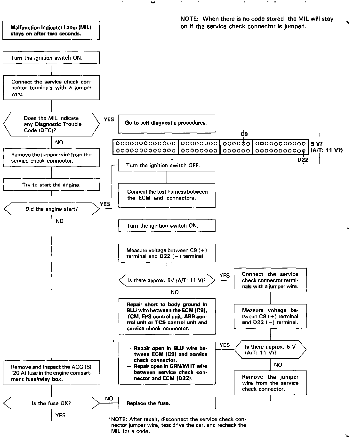
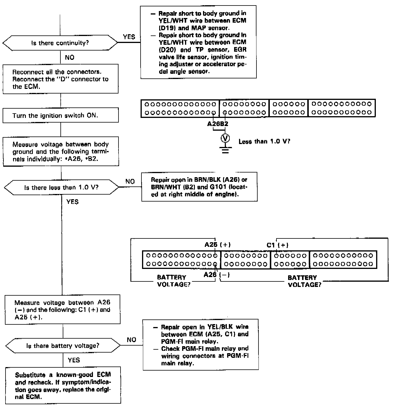
Troubleshooting flowchart C - malfunction indicator lamp stays on.